Introducción
La mayoría de los politólogos han encontrado que el estrato social no ha sido un factor importante en las elecciones colombianas en general ni en las elecciones presidenciales en particular (Barrero y Meléndez 2011; García Sánchez 2010; Hoskin, Masías y Galvis 2003, 2005; Hoyos y Ceballos 2004; Olivella y Rodríguez Raga 2009). La falta de votación de clase normalmente se explica como consecuencia de la identificación partidista o de la movilización clientelista (el voto “amarrado”) que tienen poco o nada que ver con la clase social (Gutiérrez Sanín 2006; Hartlyn 1993). Por esta razón, la votación de clase no ha recibido mucha atención en las elecciones presidenciales en Colombia.
En el caso de las elecciones presidenciales de 2018, por ejemplo, existe un gran número de trabajos que analizan su cubrimiento mediático (Barrios et al. 2018; Cárdenas Ruiz 2020; Manfredi González y Biojó 2019; Prada Espinel y Romero Rodríguez 2018), su dimensión geográfica (Basset 2020; Milanese y Serrano Corredor 2019) y hasta su dimensión ideológica (Isaza Espinosa 2020; Kajsiu y Tamayo Grisales 2019; Macías et al. 2020; Richard 2020). Sin embargo, no existe ninguna investigación que se enfoque en la votación de clase en estas elecciones, aunque hay estudios que indican que en ciudades como Bogotá el candidato de la derecha, Iván Duque, recibió más apoyo de los estratos altos (5 y 6), mientras que el candidato izquierdista Gustavo Petro recibió más votos de los estratos bajos (1 y 2) (Kajsiu 2020, 205)
Por lo tanto, el principal objetivo de nuestro artículo es analizar y comparar el nivel de votación de clase en los cinco centros urbanos principales de Colombia (Bogotá, Medellín, Cali, Barranquilla y Cartagena) durante las elecciones presidenciales de 2006, y la segunda vuelta de las elecciones presidenciales de 2010, 2014 y 2018. Mostramos que en las elecciones presidenciales de 2018 hubo una votación de clase mucho más alta que en las elecciones presidenciales de 2006, 2010 y 2014. Mientras que el candidato del Centro Democrático, Iván Duque, recibió más apoyo de la clase alta (estratos 5 y 6), el candidato de Colombia Humana, Gustavo Petro, obtuvo más votos de la clase baja (estratos 1 y 2). Nuestra metodología no nos permite determinar qué tan importante fue la votación de clase en el resultado electoral de las elecciones presidenciales de 2018. Sin embargo, podemos afirmar de manera contundente que en ese año hubo un surgimiento de votación de clase en comparación con los comicios presidenciales anteriores (2006-2014).
El segundo objetivo es desarrollar una hipótesis que explique este fenómeno. Utilizando la literatura internacional sobre la votación de clase, tanto en Europa y Estados Unidos como en América Latina, proponemos que es posible interpretar el surgimiento de votación de clase en las elecciones presidenciales de 2018 como consecuencia de la polarización ideológica entre los dos candidatos presidenciales principales, Iván Duque y Gustavo Petro, tanto en el eje derecha-izquierda como en el eje populista - no populista. A tal fin mostramos que existe una correlación entre la polarización ideológica entre los dos candidatos presidenciales principales, tanto en el eje derecha-izquierda como en el eje populista - no populista, y la votación de clase en las elecciones presidenciales (2006-2018) en Colombia. Sin embargo, más evidencia empírica y análisis estadísticos son necesarios para establecer de manera contundente una correlación causal entre polarización ideológica y votación de clase en las elecciones presidenciales de Colombia.
Para desarrollar los dos argumentos anteriores el artículo está organizado en tres partes. En la primera presentamos el marco teórico y metodológico que hemos desarrollado para medir y comparar la votación de clase en lo que llamamos Colombia urbana (Bogotá, Medellín, Cali, Barranquilla y Cartagena) en las elecciones presidenciales 2006-2018. Aquí definimos de manera operacional conceptos como clase y votación de clase, y presentamos los índices de votación de clase y las bases de datos utilizadas para comparar el nivel de votación de clase. En la segunda parte exponemos los resultados de nuestro análisis cuantitativo que muestran un aumento de la votación de clase en las elecciones presidenciales de 2018 en comparación con las tres elecciones anteriores (2006, 2010 y 2014). Finalmente, en la tercera parte, identificamos una correlación entre votación de clase y polarización ideológica, tanto en el eje derecha-izquierda como en el eje populismo - no populismo. Aquí ofrecemos una posible hipótesis sobre la manera como la polarización ideológica podría activar la votación de clase.
1. Marco teórico y metodológico: ¿cómo identificar y medir la votación de clase?
Vamos a definir la clase social desde una perspectiva amplia que no se reduce ni al economicismo marxista ni a la perspectiva weberiana, como a menudo se hace en los estudios de comportamiento electoral (Lupu 2010; Roberts 2002). Nuestra definición de clase social se acerca más a la perspectiva de Pierre Bourdieu que define una clase social como “un grupo de individuos que […] comparten las mismas condiciones externas de vida” (Hong y Zhao 2015, 4). Desde la perspectiva de Bourdieu (1991, 231), para entender mejor las clases sociales es importante romper con la teoría marxista que “reduce el campo social, un espacio multidimensional, solamente al campo económico”. Según el autor, hay que mirar las posiciones y capitales sociales, no solamente económicos, de los distintos grupos, que producen condiciones de vida parecidas y moldean un habitus distinto para distintas clases sociales (Liu 2003). En términos operacionales esto implica que las clases sociales “se constituyen por individuos que comparten características similares con respecto a varios indicadores socio-económicos” (Handlin 2013, 154).
En Colombia existe una división administrativa de la sociedad en seis estratos socioeconómicos que agrupan a los individuos según la calidad de la vivienda en la cual habiten: 1 es el estrato más bajo y 6, el más alto. Los barrios que concentran las viviendas de los estratos más bajos (1 y 2) están habitados por individuos que comparten varios indicadores socioeconómicos, como bajos niveles de educación, bajos niveles de ingresos, bajos niveles de capital social, altos niveles de inseguridad y altos niveles de informalidad. Por lo tanto, no es sorprendente que los estudios sociológicos muestren que la política de estratificación ha “llegado a colocarse, de manera superpuesta, a la estratificación social existente […] de manera que los estratos, en cierta forma, han reemplazado a las clases sociales” (Uribe y Pardo 2006, 202). No solamente los distintos estratos son conscientes de su existencia, sino que también los patrones de consumo, diversión y educación son muy diferentes entre los estratos bajos (1 y 2) y los estratos altos (5 y 6). Por ejemplo, mientras que los primeros en su mayoría recurren a la educación y el transporte públicos, los segundos tienen de manera casi exclusiva acceso a la educación y al transporte privados (Uribe y Pardo 2006, 189-191).
Los diferentes estratos no solamente perciben diferentes niveles de ingreso, sino que también tienen distintos estatus social, riqueza y educación. Como reportan los sociólogos, expresiones comunes en el lenguaje colombiano como “se le nota el estrato” les asignan un estatus social diferente a los estratos: alto para los estratos altos y bajo para los estratos bajos (Uribe Mallarino y Pardo Pérez, 2006). De la misma manera, los niveles de ingreso y educación difieren mucho entre los diferentes estratos. El nivel de educación por cada estrato, que refleja bien el nivel de ingresos, muestra que el porcentaje de personas con más de 25 años que alcanzaron la educación superior sube con el estrato (ver gráfico 1).
Gráfico 1.
Nivel de educación más alto alcanzado por las personas mayores de 25 años, según estrato social (1-6)
Por lo tanto, los estratos reflejan bastante bien la división clasista de la sociedad colombiana. Las personas de clase baja se encuentran en los estratos 1 y 2, las personas de clase media pertenecen a los estratos 3 y 4, mientras que las personas de clase alta se ubican en los estratos 5 y 6. De las tres clases, la más heterogénea es la clase media, dado que, como muestra el gráfico 1, las personas que pertenecen al estrato 3 podrían tener más en común con el estrato 2, mientras que las personas de estrato 4 parecen estar más cerca al estrato 5. Para superar dicha dificultad nuestro análisis se enfoca principalmente en las clases bajas (1 y 2) y altas (5 y 6). Ambas son bastante homogéneas y fácilmente diferenciables en términos socioeconómicos.
a. ¿Cuándo hay votación de clase?
Normalmente la votación de clase se define como la tendencia de los votantes que pertenecen a una clase social particular a votar en su mayoría por un partido o candidato político diferente al candidato votado por otra clase social (Evans 2016, 177). El índice de Alford (Alford index), que mide la votación de clase como la diferencia entre el porcentaje de votantes de clase trabajadora que votan por un partido de la izquierda y el porcentaje de votantes de clase no trabajadora que votan por el mismo partido, ha sido la manera más común de medir la votación de clase (Mayer 2009, 169). La misma lógica del índice de Alford se ha aplicado en estudios recientes de votación de clase, aunque con métodos más sofisticados como análisis de regresión y logit odds ratios. Por ejemplo, Handlin (2013) utiliza el análisis bivariado (bivariate analysis) para estudiar la relación entre clase social y votación por Hugo Chávez en Venezuela. De la misma manera, Mainwaring et al. (2015) emplean el análisis de regresión para identificar la probabilidad de que un votante de clase baja vote por un candidato de izquierda.
Aunque muy útil, el índice Alford y la medición de votación de clase que fue creada en los países desarrollados de Europa y en EE. UU. suponen la existencia de un partido o candidato viable de izquierda en relación con el cual se mide la votación de clase. Esta suposición siempre se cumple en estos países, pero no en las elecciones presidenciales colombianas, en cuya segunda vuelta a menudo no existe un candidato de izquierda o simplemente existe alguien que no es viable (que tiene muy pocas probabilidades de ganar, como Carlos Gaviria en 2006).
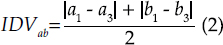
Por lo tanto, hemos desarrollado el índice de diferencia de votación (IDV) que mide la diferencia en la votación entre dos clases sociales con respecto a dos candidatos presidenciales, sin importar su ubicación ideológica. El índice se calcula sumando la diferencia absoluta en votación (como porcentaje) entre dos clases sociales con respecto al candidato A con la diferencia absoluta en votación entre dos clases sociales con respecto al candidato B, dividida por 2. A tal fin, hay que calcular la distribución de votos (como porcentaje) dentro de cada clase social con respecto a los dos candidatos. El porcentaje de votos que los candidatos A y B recibieron en la segunda vuelta dentro de cada clase social se ubica de la siguiente forma:
En la tabla 1, a1 es la razón (expresada como porcentaje) entre el total de votos recibidos por el candidato A en la clase alta sobre el total de los votos válidos de esta clase para los dos candidatos. Mientras b1 es la razón entre el total de votos recibidos por el candidato B en la clase alta sobre el total de los votos válidos de esta clase para los dos candidatos. Por lo tanto, la suma de estas dos proporciones representa el 100 % de los votos válidos de esta clase para los dos candidatos (a1 + b1 =100 %).
El índice de diferencia, IDVab, que mide la diferencia en el comportamiento electoral entre la clase alta y baja, es el promedio simple de las diferencias en la votación de los dos candidatos entre las dos clases sociales:
De la misma forma, los índices de diferencia IDVam (alta vs. media) e IDVmb (media vs. baja), que miden la diferencia en el comportamiento electoral entre la clase alta y media y media y baja, respectivamente serían:
En la fórmula anterior, el índice tiene un valor mínimo de o, cuando no existe ninguna diferencia entre la votación de las dos clases, y un valor máximo de 100, cuando el comportamiento electoral entre las dos clases es completamente diferente.
Aunque muy útiles, el IDV mide solamente la diferencia en el comportamiento electoral entre dos clases, pero no nos muestra la dirección de este comportamiento y tampoco nos permite evaluar el comportamiento electoral de una clase social en sí misma. A tal fin vamos a utilizar la diferencia entre la votación esperada y la votación observada. La votación observada es el número de votos que un candidato recibió en una clase social. La información sobre la votación observada para los dos candidatos A y B en la clase alta, media y baja se resume en la siguiente tabla de contingencia:
La votación esperada, por otro lado, es el número de votos que un/a candidato/a recibiría de una clase social si no hubiera ninguna relación entre clase y votación. En este caso no existe relación entre la votación para el candidato y la clase social cuando el porcentaje de votos que él recibe de una clase social es idéntico al porcentaje de votos de la misma clase en la totalidad de los votantes. Es decir, si el 20 % de los votos del candidato A son de la clase alta y el 20 % de los votantes en total pertenecen a la clase alta, en este caso no hay ninguna relación entre clase social y votación por el candidato A. Por lo tanto, la votación esperada para el candidato A en la clase alta sería:
Esto es, la proporción de votos que representa la clase alta en la totalidad de los votos para los dos candidatos
multiplicada por el total de votos que recibió el candidato A (A1 + A2 + A3) nos da el número de votos que este mismo candidato debería haber recibido en ausencia de una relación entre clase social y votación. De la misma manera, la votación esperada para el candidato A en la clase media sería:
Finalmente, el valor esperado en la clase baja para el candidato A sería:
Para identificar la diferencia entre la votación observada (VO) y la esperada (VE) en cada clase social, como porcentaje de la votación esperada utilizamos la siguiente fórmula:
De tal manera se puede determinar qué tan por debajo, o por encima, de la votación esperada fue el resultado electoral de cada candidato entre los votantes de una clase social específica.
Para calcular el IDV y las diferencias entre los votos observados y esperados en las diferentes clases sociales se utilizaron dos bases de datos: los resultados electorales de las elecciones presidenciales 2006-2018 de la Registraduría Nacional del Estado Civil (2022) y los mapas de estratificación social de las cinco ciudades principales de Colombia (Bogotá, Medellín, Cali, Barranquilla y Cartagena) (ver anexo 1) . La primera incluye los resultados electorales por puesto de votación, a la vez que ofrece la ubicación de cada puesto. Igualmente, se emplearon los mapas de estratificación socioeconómica para asignarles un estrato a los puestos de votación en concordancia con la estratificación de la zona donde estaban ubicados. Esto es, si un puesto de votación se encuentra en una zona donde la gran mayoría de las viviendas son de estrato 2, entonces se le asignaría el estrato 2.
A tal fin, los puestos de votación que se han escogido están ubicados en zonas donde domina claramente un estrato social específico o dos estratos que pertenecen a la misma clase social. Es decir, se escogieron puestos de votación en zonas donde predominan viviendas de clase baja (estratos 1 y 2), clase media (3 y 4) y clase alta (5 y 6). En ninguna de las cinco ciudades se analizaron los resultados para todos los puntos, dado que en muchos casos los puestos de votación están ubicados en zonas donde se mezclan varios estratos que pertenecen a diferentes clases sociales.
No obstante, nuestras muestras son confiables por dos razones. Primero, miramos casi los mismos puestos de votación durante las diferentes elecciones presidenciales. Aunque los puestos de votación son casi idénticos de una elección presidencial a la otra, el número de votos que analizamos subió de 718.520 en 2006 a 1.104.126 en 2018 porque el número de votantes se incrementa con el aumento y envejecimiento de la población colombiana.2 El hecho de que los puestos de votación entre 2006 y 2018 sean idénticos en más del 99 % de los casos nos permite medir con alta confianza las transformaciones en niveles de votación de clase (ver anexo 2). Aunque en estos puestos de votación cambian los votantes, no se modifica su estrato, que es nuestra variable de interés. Segundo, el número de votantes que analizamos en cada clase social es tan grande que fácilmente representa a dicha clase, especialmente dado que la clase social es la única característica que nos interesa. Por ejemplo, en 2006 analizamos a nivel nacional, en las cinco zonas urbanas, 288.184 votos de clase baja, 305.578 de clase media y 124.758 votos de clase alta (ver tabla 3).
Tabla 3.
Puestos de votación y votos analizados en las elecciones presidenciales 2006, 2010, 2014 y 2018•
Como se observa en la tabla 3, nuestro análisis es más parecido a un censo que a una encuesta. Es decir, a nivel nacional analizamos la votación de cientos de miles de votantes de las tres clases sociales en las principales zonas urbanas, de tal manera que aumentar más la muestra no incrementa su representatividad ni cambia los resultados de nuestro análisis.
Para mostrar esto hicimos una prueba de robustez para las elecciones de 2018. Ampliamos nuestra muestra original de 169 puestos de votación y de 1.104.126 votos a 354 puestos de votación y 1.878.265 votos. Es decir, casi duplicamos el número de puestos de votación y votos que analizamos en 2018. Los niveles y tendencias de votación de clase que identificamos con estas dos muestras eran casi idénticas tanto en su magnitud como en su tendencia (ver tabla 4).
Tabla 4.
Prueba de robustez, IDV, segunda vuelta de elecciones presidenciales de 2018 para Colombia urbana (Bogotá, Medellín, Cali, Barranquilla, Cartagena)
Como muestra la tabla 4, los índices que encontramos con las dos muestras muy distintas son muy parecidos, especialmente con respecto a la diferencia en el comportamiento electoral entre la clase baja y la alta (IDVab). Es importante enfatizar aquí que la muestra ampliada que utilizamos por las elecciones de 2018 era bastante representativa (ver tabla 5). Como evidencia la tabla 5, la muestra ampliada que utilizamos en nuestra prueba de robustez es suficientemente grande para ser representativa. Incluso en el caso de la clase baja, que representa la muestra más pequeña, hemos analizado cerca del 21,1 % de la población.
2. Resultados: votación de clase en las elecciones presidenciales de 2018, 2014, 2010 y 2006
En esta parte presentamos los resultados de nuestro análisis para la segunda vuelta de las elecciones presidenciales de 2018, 2014, 2010 y la única vuelta de las elecciones presidenciales de 2006. En los comicios de 2006 medimos la votación de clase solamente con respecto a los dos candidatos principales, Álvaro Uribe y Carlos Gaviria. En la tabla 6 presentamos los IDV entre la clase alta y baja (IDVab), entre la clase alta y media (IDVam), y entre la clase media y baja (IDVab) para la Colombia urbana y Bogotá.
Tabla 6.
Votación de clase en las elecciones presidenciales 2006-2018 en Bogotá y Colombia urbana (Bogotá, Medellín, Cali, Barranquilla y Cartagena)
Como muestra la tabla 6, en la segunda vuelta de las elecciones presidenciales de 2018 la votación de clase aumentó de manera substancial entre la clase alta y la clase baja (IDVab), tanto en Bogotá como en Colombia urbana (Bogotá, Medellín, Cali, Barranquilla y Cartagena). Es importante notar que el aumento en la votación de clase (alta vs. baja) entre 2006 y 2018 se dio no solamente en Bogotá sino también en Cali, Barranquilla y Cartagena. Medellín fue la única ciudad donde no hubo un aumento de votación de clase entre las clases alta y baja en 2018 (ver tabla 7).
Tabla 7.
Votación de clase (alta vs. baja) en Bogotá, Medellín, Cali, Barranquilla y Cartagena, 2006-2018
Como muestra la tabla 7, en 2018 hubo un aumento significativo en la votación de clase en comparación con 2014 en Bogotá, Cartagena y Cali. En Barranquilla también se registró un aumento de votación de clase en 2018, aunque menos pronunciado.
Para entender mejor el comportamiento electoral de cada clase, presentamos la diferencia (en porcentaje) entre el voto observado y el voto esperado para cada candidato en cada una de las tres clases sociales. Mientras más grande y positiva sea la diferencia entre el voto observado y el esperado de un candidato dentro de una clase social, más apoyo tendrá dentro de esta y viceversa (ver tabla 8).
Tabla 8.
El nivel de apoyo de los dos candidatos presidenciales principales según clase social en las elecciones presidenciales de 2006, 2010, 2014 y 2018 en Colombia urbana
La tabla 8 es útil porque nos muestra la magnitud y la dirección de la votación de clase por cada clase social. En 2018, por ejemplo, Duque fue apoyado fuertemente por la clase alta, pues recibió un 44% más de los votos esperados, mientras que Petro fue rechazado fuertemente por esta misma clase, dado que recibió el 49 % menos de votos esperados. La clase baja, por otro lado, rechazó a Duque y apoyó más a Petro. Aunque es importante notar aquí que el rechazo hacia Petro por la clase alta (-49 %) fue mucho más fuerte que el rechazo a Duque por la clase baja (-23 %). De la misma manera, el apoyo adicional que Duque recibió de la clase alta (+44 %) es más grande que el apoyo adicional que recibió Petro de la clase baja (+26 %). Esto implica que la votación de clase en 2018 fue más fuerte en la clase alta que en la clase baja y menor en la clase media.
En la segunda vuelta de las elecciones presidenciales de 2014 también la votación de clase estuvo más presente en la clase alta que apoyó más a Zuluaga (+14 %) y menos a Santos (-14 %), aunque en este caso la diferencia no fue tan pronunciada como en 2018. Es interesante notar que la polarización política Santos-Zuluaga no activó la votación de clase ni en la clase media ni en la clase baja. Los dos candidatos recibieron un apoyo muy parecido en ambas.
Las elecciones presidenciales de 2010 muestran que Santos recibió más apoyo de la clase baja (+13 %) que de la clase alta (-6 %), aunque la diferencia entre ambas clases no fue tan grande como en 2018. Mockus, por otro lado, fue rechazado por la clase baja (-27 %) y apoyado principalmente por la clase media (+27 %). Es decir, parece que la candidatura de Mockus no resonó con la clase baja y tuvo su principal base de apoyo en la clase media, aunque también recibió más apoyo de lo esperado por la clase alta (+12 %).
A diferencia de Mockus en 2010, Carlos Gaviria en 2006 fue rechazado de manera significativa por la clase alta (-37 %) que, por otro lado, apoyó a Uribe con el 12 % más de lo esperado. Mientras el rechazo a Gaviria fue sustancial en la clase alta, su apoyo tanto por la clase media como por la baja fue débil, aunque positivo (+8 %). El rechazo de estas clases hacia Uribe, por el otro lado, fue casi inexistente (-3 %).
Una manera sencilla de visualizar el apoyo que cada candidato presidencial recibió en diferentes estratos sociales es a través de los gráficos de dispersión que muestran los porcentajes de votos que los candidatos recibieron en diferentes puestos de votación, organizados según el estrato social de sus votantes de 1 a 6 (ver gráfico 2).
Gráfico 2.
Porcentaje de votos por puesto de votación según estrato (1-6) en las elecciones presidenciales 2006-2018
El gráfico 2 muestra que la relación entre estrato social y votación por los candidatos fue más fuerte en las elecciones presidenciales de 2018, pues mientras más sube el estrato del puesto de votación más sube la votación por Duque y baja la votación por Petro, y viceversa. En las elecciones presidenciales de 2014, por el otro lado, la relación entre estrato social y votación por Zuluaga y Santos fue la más débil. En este sentido, los gráficos de dispersión confirman nuestros hallazgos anteriores que muestran que la más alta votación de clase (alta vs. baja) en la Colombia urbana se dio en las elecciones presidenciales de 2018 y la más baja en las de 2014 (ver tabla 6).
3. Polarización ideológica y votación de clase: una hipótesis
En el apartado anterior hemos mostrado que en las elecciones presidenciales de 2018 surgió un aumento significativo de la votación de clase, especialmente entre la clases alta y baja, en comparación con los comicios presidenciales anteriores de 2006, 2010 y 2014. Aquí vamos a argumentar que una posible explicación de este surgimiento se puede encontrar en el aumento de polarización ideológica entre los dos candidatos presidenciales, Iván Duque y Gustavo Petro, tanto en el eje derecha-izquierda como en el eje populista - no populista.
Existe una literatura amplia sobre el comportamiento electoral que muestra que la convergencia ideológica entre los partidos reduce la votación de clase (Evans 2016, 185). Varios politólogos han señalado que existe una relación estrecha entre la polarización ideológica (derecha-izquierda) y la votación de clase en el Reino Unido y Europa (Evans 1999; Evans y Tilley 2012). La misma tendencia se ha encontrado en América Latina en los años 2000, cuando la votación de clase aumentó con el surgimiento de los candidatos presidenciales izquierdistas (Heath 2009; Mainwaring, Torcal y Soma 2015). Según Carlin, Singer y Zechmeister (2018, 67), “candidatos presidenciales izquierdistas y polarizadores tienen el potencial de —aunque no siempre lo hacen— activar la votación de clase”.
Por lo tanto, también esperamos encontrar una correlación entre la polarización ideológica entre los dos candidatos presidenciales principales y la votación de clase en Colombia. Para medir la polarización ideológica entre los dos candidatos presidenciales principales en el eje derecha-izquierda vamos a utilizar los datos de la encuesta Barómetro de las Américas del proyecto LAPOP (Latin American Public Opinion Project). En esta encuesta se les pide a los respondientes calificar a los candidatos presidenciales en una escala de 1 (izquierda) a 10 (derecha). La pregunta nos permite calcular la polarización ideológica entre los candidatos presidenciales como la diferencia absoluta entre sus posiciones ideológicas (ver tabla 9).
Tabla 9.
Ubicación ideológica (derecha-izquierda) de los dos candidatos presidenciales principales según los encuestados por Lapop en las elecciones presidenciales 2006-2018
La tabla 9 nos muestra que la polarización ideológica en el eje derecha-izquierda fue más alta entre Petro y Duque en las elecciones presidenciales de 2018, y en las elecciones presidenciales de 2006, entre Gaviria y Uribe. En ambos casos teníamos un candidato de derecha frente a un candidato de izquierda. El gráfico 3 muestra la relación entre polarización ideológica en el eje izquierda-derecha y el IDV entre las clases alta y baja, alta y media, y media y baja, en las elecciones presidenciales 2006-2018.
Gráfico 3.
Votación de clase y polarización ideológica izquierda-derecha en la Colombia urbana en las elecciones presidenciales 2006-2018
El gráfico 3 muestra que existe una correlación fuerte entre polarización ideológica en el eje izquierda-derecha y votación de clase entre la clase alta y la clase baja. Esto se evidencia por un alto coeficiente Pearson (r) de 0,70 entre la votación de clase alta vs. la de clase baja (IDV ab) y polarización ideológica. También hay una correlación clara entre la diferencia en votación entre la clase alta y media (IDV am) y polarización ideológica (r = 0,67), aunque en este caso el impacto de la polarización ideológica sobre la votación de clase parece menor que en la diferencia de votación entra la clase alta y la baja. Por otro lado, la polarización ideológica derecha-izquierda no se correlaciona claramente con la diferencia en votación entre la clase media y la baja (r = 0,46).
Desafortunadamente, en las encuestas no existen preguntas que servirían para medir el nivel del populismo de los diferentes candidatos. Por lo tanto, para medir la polarización en el eje populista - no populista vamos a emplear un análisis conceptual de contenido de los discursos de campaña electoral de los dos principales candidatos en los comicios presidenciales 2006-2018. A tal fin utilizaremos la definición dominante de populismo en la ciencia política, desarrollada por Mudde (2004, 543), como una ideología estrecha que entiende la sociedad en términos de la división entre dos grupos “homogéneos y antagónicos, ‘el pueblo honesto’ versus ‘la elite corrupta’, y que argumenta que la política debería ser la expresión de la volonté générale (voluntad general) del pueblo”. Vamos a medir la frecuencia con la cual aparecen en los discursos de los candidatos presidenciales los tres conceptos básicos de un discurso populista: élite corrupta, pueblo como sujeto político y voluntad popular (ver tabla 10).
Aquí es importante hacer una aclaración sobre la metodología. Nuestro análisis de contenido no mide simplemente la frecuencia de palabras, sino de conceptos. Esto implica que no es suficiente con que un político mencione la palabra élite o pueblo para identificarla como una instancia de articulación populista. Para que la palabra élite cuente como tal tiene que ser utilizada de manera derogatoria, como élite corrupta, egoísta o explotadora. De la misma manera, la palabra pueblo no constituye un concepto populista cuando hace referencia a un pueblo como Marinilla, por ejemplo, sino cuando alude al pueblo como sujeto político, como en la oración “El pueblo colombiano apoya la democracia”. A tal fin, cada palabra se va a analizar en su contexto lingüístico inmediato, que son la oración y el párrafo, para identificar su dimensión conceptual. Esto implica que una palabra podría tener varias dimensiones conceptuales. Por ejemplo, la oración “El pueblo honesto y trabajador de Colombia, oprimido por la élite, restaurará la democracia” tiene cuatro frecuencias conceptuales populistas: 1) la élite corrupta, 2) el pueblo como sujeto político, 3) el pueblo como fuente de democracia, 4) el pueblo como fuente de valores. En este caso la frecuencia conceptual de la palabra pueblo es la 3.
Utilizamos la metodología anterior para establecer el coeficiente del populismo de los candidatos presidenciales a través de un análisis conceptual de contenido de sus discursos electorales (discursos de victoria en la primera y segunda vuelta, discursos de derrota en la primera y segunda vuelta, y discursos de posesión). Mientras más alto sea el coeficiente, más alto es el nivel de populismo de los candidatos, y viceversa. La diferencia absoluta entre los coeficientes del populismo de los dos candidatos presidenciales constituye el nivel de polarización ideológica en el eje populista - no populista. La tabla 11 resume los resultados de nuestro análisis de contenido.
Utilizamos los datos de la tabla anterior para identificar la correlación entre polarización ideológica en el eje populista - no populista y la votación de clase (alta vs. baja, alta vs. media y media vs. baja) en las elecciones presidenciales 2006-2018 (ver gráfico 4).
Gráfico 4.
Polarización ideológica en el eje populista - no populista y votación de clase en las elecciones presidenciales 2006-2018 en Colombia
Como muestra el gráfico anterior, existe una correlación clara entre la polarización ideológica en el eje populista - no populista y la votación de clase (alta-baja y alta-media) en las elecciones presidenciales en Colombia. El coeficiente Pearson (r) en el caso de la votación de clase alta-baja (IDVab) es de 0,69, mientras en la votación de clase alta-media (IDVab) es de 0,77. Sin embargo, la polarización ideológica en el eje populista - no populista parece tener más impacto en la diferencia de votación entre clase alta y baja (IDVab) que en la diferencia de votación entre clase alta y media (IDVam), dado que un aumento en la polarización ideológica (populista-no populista) aumenta más la diferencia de votación entre la clase alta y baja que entre la clase alta y media. Lo mismo pasó en el caso de la polarización ideológica derecha-izquierda (ver gráfico 3). Por otro lado, en el caso de la votación de clase media-baja (IDVmb) no existe ninguna correlación con la polarización ideológica en el eje populista - no populista (r = 0,1). Esto quiere decir que mientras más diferencia haya entre los dos candidatos presidenciales en cuanto a su nivel de populismo, más diferencia habrá en la manera como vota la clase alta por un lado y la clase baja y media por el otro.
Nuestros datos parecen mostrar que la polarización ideológica tanto en el eje derecha-izquierda como en el eje populista - no populista se correlaciona con un aumento de votación de clase, tal como sostiene la literatura internacional sobre este tema. Obviamente, más investigación y muchos más datos son necesarios para comprobar y explicar de manera contundente esta relación. Nuestros datos y metodología no permiten identificar el mecanismo causal a través del cual la polarización ideológica activa la votación de clase en Colombia.
Sin embargo, a manera de una hipótesis exploratoria quisiéramos proponer que el discurso populista-izquierdista es mucho más crítico de la democracia colombiana, su élite e instituciones políticas que el discurso derechista y no populista. Por lo tanto, refleja mejor los valores y percepciones políticas de la clase baja y está más lejos de las percepciones y los valores políticos de la clase alta. Por esta razón, los candidatos que articulan un discurso izquierdista-populista podrían recibir más apoyo de los estratos bajos y menos de los estratos altos. Según la Encuesta de Cultura Política del DANE (2019), el 71,4 % de la clase alta en la parte urbana de Colombia en 2018 pensaba que Colombia era una democracia, versus el 60 % de la clase baja. Esta diferencia era mucho más pronunciada en el caso de Bogotá, donde el 68 % de la clase alta respondió que Colombia era una democracia, versus solamente el 34,4 % de la clase baja (gráfico 5).
Gráfico 5.
Porcentaje de respondientes en zonas urbanas que pensaban que Colombia es un país democrático en 2018
Es interesante notar que, en el año 2018 en Bogotá, donde la diferencia entre las percepciones políticas de la clase alta y baja es más profunda, la votación de clase (alta-baja) es también más alta que a nivel nacional (ver tabla 6). Estudios recientes del comportamiento electoral han mostrado que las diferencias en valores políticos entre distintas clases sociales constituyen uno de los mecanismos más importantes para explicar la votación de clase en las democracias de la Europa Occidental (Langsæther 2018, 13). Este podría ser el caso también en Colombia. Sin embargo, la identificación del mecanismo causal entre polarización ideológica y votación de clase se encuentra más allá del objetivo de nuestro artículo.
Conclusión: votación de clase y polarización ideológica en la Colombia urbana
En este artículo hemos mostrado que en la segunda vuelta de las elecciones presidenciales de 2018 hubo un aumento considerable de la votación de clase en los principales centros urbanos de Colombia en comparación con las elecciones presidenciales de 2006, 2010 y 2014. Este fenómeno se dio en cuatro de las principales ciudades colombianas que analizamos (Bogotá, Cali, Barranquilla y Cartagena), pero no estaba presente en Medellín. Nuestro análisis muestra que en la segunda vuelta de las elecciones presidenciales de 2018 el candidato del Centro Democrático, Iván Duque, recibió más apoyo de lo esperado en la clase alta y menos en la clase baja. Lo opuesto pasó con el candidato de la Colombia Humana, Gustavo Petro, quien fue rechazado por la clase alta y apoyado por la clase baja.
Basándonos en la literatura sobre la votación de clase desarrollada en otros países, nuestra hipótesis exploratoria es que la polarización ideológica entre Duque y Petro activó la votación de clase en la segunda vuelta de las elecciones presidenciales de 2018. En esta elección, la polarización ideológica entre los dos candidatos presidenciales, tanto en el eje derecha-izquierda como en el eje populista - no populista, fue más alta que en las elecciones anteriores (2006-2014). Nuestro análisis, aunque preliminar y con un número muy limitado de datos, muestra que parece existir una correlación significativa entre polarización ideológica y votación de clase.
Una posible correlación entre polarización ideológica y votación de clase en Colombia podría explicar la ausencia de la votación de clase en una sociedad bastante estratificada. Según nuestra hipótesis, esta ausencia sería producto, entre otras cosas, de la falta de polarización ideológica entre los candidatos presidenciales tanto en el eje derecha-izquierda como en el eje populista - no populista, por lo menos hasta las elecciones presidenciales de 2018. De hecho, la historia política colombiana muestra que la combinación de un discurso izquierdista y populista, como en el caso de Jorge Eliécer Gaitán, produce votación de clase en cuanto moviliza a las clases bajas y es fuertemente rechazado por las clases altas, por lo menos en las principales zonas urbanas (Braun 2008, 105).
Es importante resaltar que nuestras conclusiones aplican solamente a los principales centros urbanos, a lo que hemos denominado Colombia urbana. Nuestra expectativa es que la relación entre polarización ideológica y votación de clase debería ser más débil en las zonas rurales y las ciudades pequeñas de Colombia, por dos razones. Primero, la dimensión clasista está menos presente en estas zonas donde la mayoría de la población es del mismo estrato (bajo) y donde la clase alta (estratos 5 y 6) es casi ausente. En Leticia (la capital del departamento de Amazonas), por ejemplo, según el último censo del DANE (2021), hay solamente 25 personas de más de 20 años que pertenecen a la clase alta, de un total de 21.333 habitantes. Por lo tanto, en estas áreas tanto la conciencia de clase como la existencia de distintas clases sociales no deberían estar tan presentes como en los principales centros urbanos. Segundo, fenómenos como el clientelismo político, la compra de votos y la presencia de grupos armados afectan más el comportamiento electoral en las zonas rurales que en los principales centros urbanos. Como argumentan Eaton y Chambers-Ju (2014, 91), el clientelismo colombiano “tiene raíces en formas históricas de la organización social rural”. En otras palabras, el “voto amarrado” debería desempeñar un papel más significativo en las zonas rurales y los pueblos pequeños que en los principales centros urbanos donde el voto independiente está más presente. Esto a su vez reduce la importancia de la votación de clase en las zonas rurales.
Sin embargo, nuestra metodología y datos no nos permiten evaluar la relevancia de la votación de clase frente a otras variables que inciden en el comportamiento electoral y aún menos identificar su presencia en las zonas rurales. Más análisis y datos son necesarios para comprobar de manera más contundente la relación entre polarización ideológica y votación de clase en la Colombia urbana y para identificar el mecanismo causal que relaciona estas dos variables en las elecciones presidenciales. Futuras investigaciones también deberían prestar atención a las diferencias entre votación de clase en zonas urbanas y rurales. La metodología que hemos desarrollado en este artículo se podría utilizar a tal fin.










