Introducción
En la evaluación económica de proyectos de inversión, políticas y programas, la elección de la tasa social de descuento (TSD) constituye un factor crítico para la toma de decisiones, dado que su valor permite comparar los flujos futuros de beneficios y costos monetarios de una alternativa de inversión o de una política pública. Esta cifra toma una relevada importancia cuando se evalúan proyectos de inversión con impactos ambientales, cuya permanencia puede prolongarse de forma intergeneracional (muy a largo plazo). Actualmente, en la literatura no hay consenso absoluto sobre la metodología ideal para el cálculo de la TSD y el valor depende, entre otras variables, de la percepción del costo de oportunidad social de los recursos que son usados como insumos en los proyectos. De esta forma, el análisis central de este artículo aborda el cálculo en Colombia de la Tasa de Descuento para licenciamiento Ambiental (TAD4), cuyo valor surge como insumo principal del análisis costobeneficio (ACB) requerido dentro de la normatividad ambiental vigente en el país (Autoridad Nacional de Licencias Ambientales [ANLA], 2018).
La hipótesis de trabajo se basa en el juicio de valor de que no solo se debe tomar para el cálculo de la TAD el criterio de asignación eficiente propio del ACB en su versión de eficiencia (la utilidad marginal del ingreso es constante para todos los individuos), sino también el criterio de equidad intergeneracional. Por ende, la TAD debe ser decreciente respecto del horizonte de tiempo de las inversiones a mediano y largo plazo, consideración esperada en este trabajo5.
En la normativa ambiental vigente en Colombia, todo proyecto de inversión sujeto a licenciamiento ambiental debe presentar un ACB de la valoración económica de los impactos relevantes (positivos y negativos) no internalizables6 del proyecto. Este ACB se hace bajo un enfoque metodológico de tasa dual de descuento, en el cual los beneficios netos ambientales se descuentan con una tasa diferente de los beneficios netos privados (p. ej., en un proyecto de reforestación los beneficios de venta de madera se descuentan con una tasa diferente de la usada para el cálculo de los beneficios por captura de carbono) (Kula y Evans, 2011). Así, la TSD calculada en este artículo se denomina tasa de descuento para proyectos objeto de licenciamiento ambiental (TAD) y se enfoca en encontrar un valor óptimo para descontar los flujos ambientales presentados en las evaluaciones de impacto ambiental (EIA) vigentes en la legislación colombiana (Decreto 1076/2015, de 26 de mayo).
Desde el punto de vista de la política pública, la inclusión de una tasa de descuento en la evaluación de proyectos de inversión con impactos ambientales contribuye a fortalecer o desalentar el principio de precaución7 adoptado por un país, cuyo rigor normativo declara las preferencias temporales de una sociedad y su aversión al riesgo. Normalmente, en un proyecto de extracción (p. ej., extracción de petróleo, minerales y otros), se obtienen beneficios netos positivos a corto plazo, mientras que sus costos ambientales, a veces incrementados por externalidades negativas, se ven a mediano y largo plazo. Por el contrario, es habitual que en un proyecto ambiental (p. ej., reforestación) los beneficios netos positivos sean percibidos a mediano y largo plazo, lo cual hace predominantes los costos de inversión ambientales en las etapas tempranas. En cualquiera de los dos tipos de proyectos, una alta TAD revela una marcada preferencia por el consumo presente, con lo cual favorece la extracción sobre la conservación, mientras que una TAD baja supone una mayor preocupación por el consumo futuro, que privilegia la conservación de los recursos para el uso de las próximas generaciones.
Desde la última década del siglo XX, la comunidad internacional ha generado una discusión acerca de si los proyectos de inversión con beneficios y costos ambientales a mediano y largo plazo deben ser evaluados con las tasas de interés disponibles en el mercado. Frente a este dilema, algunos de los países desarrollados han generado diferentes instrumentos que sustentan los cálculos de TSD enmarcados dentro de la equidad intergeneracional (p. ej., tasa social de preferencia temporal [TSPT]), con lo que dejan atrás postulados de la década de 1970 que delimitaban el cálculo de TSD a una comparación directa de los retornos del capital de los recursos públicos con los fondos privados, corregidos por sus respectivas distorsiones (p. ej., tasa marginal de costo de oportunidad social del capital [COSC]) (Campos, Serebrisky y Suárez-Alemán, 2015).
Este artículo está dividido en cinco secciones. En la primera, se desarrolla el estado actual de la TSD, junto con las estimaciones realizadas y sus aspectos teóricos y empíricos. La segunda aborda el marco teórico-conceptual del procedimiento del cálculo de la TSD y la metodología usada para el cálculo de la TAD. En la tercera, se presentan los insumos de información que guían la investigación. La cuarta da cuenta de los resultados producto de la investigación, al igual que su discusión y propuesta normativa. Finalmente, la quinta sección resume las principales conclusiones y deriva algunas implicaciones de política.
I. Estado actual
Con la realidad del cambio climático y sus afectaciones en el crecimiento de la economía mundial, en los últimos años se han realizado esfuerzos considerables para determinar valores óptimos de TSD a largo plazo para proyectos ambientales, de educación y salud en particular (Stern, 2006). Normalmente, los valores encontrados en la nueva literatura refuerzan cifras históricas de crecimiento económico, en las cuales se revelan tasas promedio del 5 % para países latinoamericanos (López, 2008) y del 4,3 % para algunos países pertenecientes a la Organización para la Cooperación y el Desarrollo Económicos (OCDE) (Evans y Sezer, 2004). Estos nuevos valores difieren sustancialmente de las tasas de interés adoptadas en el siglo XX por algunos países desarrollados, cuyas tasas de interés superaban ampliamente la cifra del 5 %.
Uno de los países pioneros en el cálculo de la TSD bajo la metodología de tasa social de preferencia temporal (TSPT) es el Reino Unido, para el cual indica The green book: Appraisal and evaluation in central government una tasa del 3,5 % para proyectos con horizontes de vida menores o iguales a 30 años (HM Treasury, 2003). En proyectos con impactos mayores de 30 años, la TSD depende de su longevidad: el 3 % para proyectos con vida útil de 31 a 75 años, el 2,5 % de 76 a 125 años, el 2 % de 126 a 200 años, el 1,5 % de 201 a 300 años y el 1 % para proyectos con impactos superiores a 300 años.
El cálculo de la TSD en la Comunidad Europea combina dos metodologías: la TSPT y la tasa marginal de retorno del capital (TMRC) o (COS, por sus siglas en inglés). Por un lado, Alemania y Noruega usan tasas constantes del 3 % y del 3,5 %, respectivamente, basándose en la COS de los bonos gubernamentales de largo plazo de cada país. Por otro lado, Francia e Italia utilizan tasas del 4 % y del 5 %, respectivamente, basando su estimación en la metodología de TSPT. España usa la TSPT, pero sectoriza sus TSD a diferentes sectores, y encuentra rangos de 4 a 6 (Zhuang, Liang, Lin y De Guzman, 2007).
El continente asiático implementa elevadas TSD frente a Europa, de manera que muestra a países como Filipinas, Pakistán e India con tasas del 15 %, el 12 % y el 12 %, respectivamente. China, por su parte, combina las metodologías TSPT y COS para calcular la TSD y presenta una tasa promedio del 8 %. No obstante, al igual que el Reino Unido, recomienda que en proyectos de largo plazo se usen tasas inferiores al 8 % (Campos et al., 2015).
Por su parte, el continente americano divide los valores respecto de sus latitudes. En el 2007, luego de usar por más de tres décadas un TSD del 10 %, Canadá disminuyó su valor al 8 %. En los Estados Unidos, la TSD varía entre sus agencias. Por un lado, la Oficina de Administración y Presupuesto (OMB, por sus siglas en inglés) indica, luego de 1992, una TSD del 7 % (previamente usaba el 10 %). Por su parte, la Agencia de Protección Ambiental (EPA, por sus siglas en inglés) aconseja para descuento intrageneracional usar tasas entre el 2 y el 3 %, que se aproximan al interés del mercado después de impuestos. Para descuento intergeneracional, la EPA sugiere el “no descuento” y deja en claro que, si se usa alguna, es importante mostrar la sensibilidad de estas tasas en la evaluación de proyectos.
Frente a la evidencia latinoamericana, durante el siglo XX varios países adoptaron la TSD del 12 % sugerida por organismos multilaterales como el Banco Interamericano de Desarrollo (BID) y el Banco Mundial (BM) (Mejia, Winters, Corral y Diez, 2012). Sin embargo, en el nuevo milenio, países como México, Perú y Chile han bajado sustancialmente sus tasas, con valores del 10, 8 y 6 %, respectivamente, y en caso de Perú variables a largo plazo tasas del 1 al 5,5 % (Kamiche y Diderot, 2018). Cambios producidos debido a modificaciones por mejorar la asignación de recursos a corto, mediano y largo, y a la implementación de los sistemas nacionales de inversiones públicas (SNIP), los cuales normalmente obligan a evaluaciones ex ante de los proyectos que se financian con fondos públicos.
López (2008) utilizó la TSPT para calcular la TSD de nueve países en latinoamérica y encontró que, dadas las tasas de mortalidad, las tasas de crecimiento del consumo per capita y la elasticidad de la utilidad marginal del consumo de cada uno de estos países, se tiene una TSD promedio del 3,1 %.
En Colombia el principal ente gubernamental gestor de la política de inversión corresponde al Departamento Nacional de Planeación (DNP), el cual desde 1989 está a cargo del Banco de Proyectos de Inversión Nacional y su normativa asociada, en la que se muestran las metodologías de ACB y los criterios de determinación de la TSD, que sigue siendo del 12 %8.
Hernández, Piraquive y Matamoros (2018) realizan una estimación de la tasa de descuento para proyectos ambientales bajo el enfoque de la TSPT, en la que encuentran un valor del 3,1 %. A diferencia de las estimaciones de Hernández et al., en este artículo se sugiere usar para evaluar los ACB de proyectos ambientales las tasas de descuento duales descritas por (Kula y Evans, 2011), en las cuales se busca combinar los criterios de sostenibilidad y eficiencia. Además, y dadas las reformas tributarias de Colombia durante el periodo analizado, este análisis realiza estimaciones anuales de las elasticidades de la utilidad marginal del consumo θt, lo cual resalta la principal contribución a la literatura y contrasta con la estimación media de la TSD de Hernández et al., la cual asume una θt constante desde 1990 hasta 2016.
Por su parte, Correa (2008) estima para Colombia tasas sociales con descuento decrecientes que varían según el horizonte de evaluación de los proyectos. Los valores encontrados toman un rango entre el 10,76 % para proyectos inferiores a 5 años y el 2,09 % para inversiones con vida útil mayor de 150 años. No obstante, la anterior aplicación para Colombia, a través de un consenso de economistas y la hipótesis de trabajo presentada en la introducción, este trabajo pretende estimar, probar o refutar el comportamiento hiperbólico de la TSP en función de la vida útil de los proyectos como valor aproximado de la TAD de acuerdo con el horizonte de vida de una muestra de 300 licencias analizadas por la ANLA.
Se espera que la TSPT estimada sea consistente con el decrecimiento estimado de la elasticidad de la utilidad marginal del consumo en los años de análisis y se presenta como valor agregado empírico a la literatura de la tasa de descuento de largo plazo (caso colombiano en proyectos que requieren licencia ambiental).
II. Marco teórico
A. Análisis costo-beneficio
El ACB se centra en la identificación y estimación de los beneficios y costos de una política, programa o proyecto, tanto desde una perspectiva privada como de una social. Uno de los principales indicadores utilizados para generar la comparabilidad entre estos es el valor presente neto (VPN) de un flujo de beneficios y costos que se distribuye a lo largo del tiempo (ecuación 1). Esta comparación intertemporal del flujo económico9 del proyecto es posible mediante la incorporación de una tasa de descuento constante, en el marco del descuento exponencial con pendiente decreciente (ecuación 2) en términos continuos o su análogo en términos discretos (Ecuación 3) (Campos, Serebrisky y Suárez-Alemán, 2016).
Para ejemplificar la importancia de la selección de la TSD en un ACB, se plantea el ejemplo de un proyecto extractivo de petróleo, el cual, luego de una inversión de $100 en el año 0, obtiene beneficios netos anuales positivos de $100 durante los primeros 10 años, cuyos costos netos ambientales son de $100 anuales desde el año 11, y continúan así hasta el año 50. Si el proyecto se evalúa con una TSD del 4% se obtiene una RBC de 0,56, lo que indica que la inversión, en valor presente genera pérdidas de bienestar. Si se evalúa con una TSD del 12 %, se obtiene una RBC de 1,55, por lo que económicamente se recomienda realizar la inversión. Asi, ante un mismo escenario de egresos en ingresos en un proyecto, es evidente que la TSD no es neutral y que su valor es decisivo para escogencia de proyectos de inversión que compiten por la asignación de los recursos escasos.
Como se mencionó en la introducción, el enfoque de cálculo de la TSD en este artículo surge como el principal insumo del ACB requerido bajo la actual normativa ambiental colombiana que solo evalúa beneficios netos ambientales y deja a un lado los beneficios netos privados. Esta diferenciación de tasas en la evaluación de proyectos surge del concepto planteado por Kula y Evans (2011) en el cual se busca encontrar un adecuado equilibrio entre eficiencia y sostenibilidad10, evaluando los flujos privados con una tasa de oportunidad del capital y los flujos ambientales con una tasa de descuento ambiental (TAD), cuyo cálculo es el principal objetivo de este artículo.
B. Tasa social de descuento
Las principales diferencias del cálculo de los valores de la TSD entre los países y en sus instituciones radican en el tipo de metodología usada para tal fin (Zhuang et al., 2007). En general, la literatura define tres rutas prácticas para su cálculo, cuya principal discrepancia reside en la percepción del costo de oportunidad de los fondos de inversión (Campos et al., 2015) con el cual se va a financiar la demanda de recursos de los proyectos. Este incremento teóricamente aumenta la tasa de interés con tres posibles impactos: desplaza la inversión privada al destinarse los recursos a la inversión pública; el segundo que el consumo privado interno caiga (incremento del ahorro interno) y tercero que se financie con ahorro externo al atraer capital extranjero o aumentar el endeudamiento externo. Los costos de cada fuente determinan individual o ponderadamente una tasa social de descuento. En particular, si se financia con consumo interno, se usa la TSPT o la TSD, en la cual se sopesa el consumo presente y el futuro. Por otro lado, al evaluar la percepción privada, se plantea la metodología de la TMRC o COS, en la cual se usa como TSD la tasa de retorno de los fondos de inversión privados, corregida por las distorsiones causadas por las imperfecciones del mercado (impuestos, informaciones asimétricas, riesgo, etc.) (Campos et al., 2015). Y, finalmente, si es con recursos externos, se aplica el costo de capital de estos recursos que incluye el spread respectivo (entre otros, el riesgo país) a precios cuenta de eficiencia11.
En términos teóricos, el precio de oferta y demanda (i) de los fondos de inversión de capital (K) está dado por TSPT y COS, respectivamente. En competencia perfecta, la tasa de interés (TI) del mercado debería reflejar el punto de equilibrio entre TSPT y COS. Este valor también es conocido en la literatura como la tasa de ahorro óptima12 (TAO), dado que TSPT = COS (Azqueta, Alviar, Domínguez y O’Ryan, 2007). No obstante, las distorsiones del mercado aumentan la diferencia entre el valor TSPT y COS, lo que hace que ambos valores difieran de la TI (de modo que, normalmente, COS > TSPT) (Figura 1). De esta forma, ante la evaluación de un proyecto con impactos a largo plazo, surge la necesidad de identificar cuál de las tres tasas refleja el verdadero costo de oportunidad social de los recursos en el amplio horizonte de tiempo proyectado.
Figura 1.
Tasa de descuento social en equilibrio y sus precios de demanda (TSPT) y oferta (COS)

Fuente: elaboración propia.
Frente al anterior cuestionamiento, Campos et al. (2015) plantean que, si el proyecto está financiado con los ahorros de los consumidores, la TSD debería ser la TSPT. Por el contrario, si el proyecto se financia con fondos privados, la TSD debería usar como medida la tasa COS. Desde una perspectiva antrópica, y sin incluir la inversión privada, los fondos de financiación de los proyectos que usan los recursos naturales equivalen a la valoración de los servicios ecosistémicos provistos por un recurso natural dentro de las comunidades impactadas. De esta forma, se plantea que para el cálculo de TSD es posible analizar la provisión de un recurso como a) un capital natural de inversión (CI) disponible por un ente privado, b) un ahorro (S) por cuenta de los consumidores o c) una combinación de (a) y (b).
La opción (a) recomienda que la estimación de la TSD se realice con la COS, la cual evalúa el costo de oportunidad de la inversión en un proyecto social como la rentabilidad dejada de percibir por la misma inversión en un mercado privado de capitales, libre de distorsiones (Baumol, 1968). Una de las principales limitaciones para incorporar esta metodología en proyectos con impactos a mediano y largo plazo (>20 años) radica en que en Colombia no hay mercados de capitales con horizontes de tiempo comparables, ya que la temporalidad prevista para las tasas de retorno ofrecida en estos mercados normalmente está dada a corto plazo (Banco de la República, s. f.). Un caso puntual aparece en las vigencias de los títulos de deuda pública doméstica emitidos por el Gobierno colombiano y administrados por el Banco de la República, cuyo plazo de maduración13 no sobrepasa en general los 10 años.
Otra de las posibles restricciones que puede generar el cálculo de la TSD bajo la COS radica en establecer un consenso social de la valoración inicial14 del “capital natural” disponible para inversión. Como es conocido en la literatura económica, algunos recursos naturales y servicios ecosistémicos son bienes no mercadeables, por lo que su valoración depende de la disponibilidad a pagar o la disponibilidad a recibir de las comunidades afectadas. Ante este planteamiento, Feldstein (1964) señala la dificultad de encontrar un consenso entre las preferencias individuales y sociales, más aún cuando se trabaja con recursos de uso común o bienes públicos, cuyos incentivos privados pueden ocasionar que la maximización del bienestar individual conlleve una reducción del bienestar social (Hardin, 1968).
La opción (b) plantea abordar el cálculo TSD como un ahorro por cuenta de los consumidores, los cuales sopesan no solo su bienestar sino el de sus herederos. Tal y como expone Zhuang et al. (2007) y Chichilnisky, Hammond y Stern (2018) en la evaluación de proyectos intrageneracionales, en la que se busca la asignación de recursos escasos entre los individuos de una misma generación, el cálculo de TSD puede ser sustentado bajo un enfoque de eficiencia con la COS. Por el contrario, cuando se evalúan proyectos intergeneracionales15 en los que se comparan el bienestar de las generaciones presentes y futuras, el enfoque de eficiencia requiere un concepto adicional de sostenibilidad, mediante el cual se consideren los valores de legado de la sociedad actual con sus herederos. Así, el dilema de encontrar una TSD radicaría en elegir una tasa de consumo de los recursos naturales, en la cual se tendría que sopesar la utilidad generada por consumir una unidad más en el presente, con el sacrificio de ahorrar una unidad menos, para consumir en un futuro de largo plazo (Ramsey, 1928)16.
Con lo anterior, según Ramsey (1928), un hogar escoge consumo de tal forma que su tasa de ahorro (r) sea igual a la tasa pura de preferencias (ρ) más la tasa a la que decrece la tasa de cambio de la utilidad marginal del consumo (θ), debido al crecimiento del consumo per capita (g). Este concepto se conoce con el enfoque de TSPT. El Apéndice A presenta la optimización dinámica del modelo económico propuesto por Ramsey y sus resultados derivados, los cuales platean la igualdad de (r).
Según López (2008), la justificación de utilizar TSPT puede surgir de dos argumentos. El primero expresa que, frente a la posibilidad de que un individuo fallezca, él puede preferir consumir $1 hoy y no en 50 años. El segundo expresa que, en el supuesto de que el individuo tenga mejores ingresos en 50 años y que su utilidad marginal de consumo decrezca a medida que aumenta su ingreso, no sería eficiente adoptar una visión igualitaria que valore de igual forma $1 de hoy con $1 en el futuro.
La opción (c), teóricamente atractiva para la estimación de TSD, tiene dos metodologías para su desarrollo: la evaluación ponderada promedio y el precio sombra del capital. Las dos metodologías presentan los mismos inconvenientes de la opción (b), ya que su cálculo implica estimar tanto el valor perdido por la posibilidad de un consumo (TSPT) como el valor perdido por la posibilidad de invertir en un mercado de capitales (COS). Además, otra de las posibles divergencias respecto ddel consenso social puede presentarse en la diferenciación de recursos naturales visto como ahorro (para posterior consumo) o como inversión, puesto que un recurso natural puede proveer los dos servicios al mismo tiempo. Azqueta et al. (2007) señalan que, cuando un proyecto transforma un bosque tropical en terreno agrícola, se sacrifica tanto consumo como inversión, y lo expone de la siguiente forma:
Por un lado, se pierde un activo que las personas valoraban, ya que formaba parte de su función de producción de utilidad, proporcionándoles un flujo de servicios recreativos de consumo. Por otro, se pierde tanto un depósito de carbono atmosférico, como un “secuestrador activo” del mismo, por lo que pierde una inversión. (p. 162)
Entonces, aunque es claro que el proyecto usaría capital de los fondos de ahorro e inversión, no lo es su proporcionalidad. Por ende, frente a esta incertidumbre que se refuerza con el limitado conocimiento de los impactos ambientales a largo plazo, y la alta demanda de información que implicaría estimar precios sombra del capital de cada proyecto de inversión, se considera que la opción (c) puede generar algunos sesgos en proyectos de largo plazo, además de generar confusiones en su aplicabilidad dentro de los decisores de política pública (Zhuang et al., 2007).
Frente a las anteriores premisas, y al contemplar la utilización de los recursos naturales a mediano y largo plazo (un dilema prioritario del consumidor), este artículo utiliza la opción (b) TSPT para calcular la TAD de proyectos con impactos ambientales, los cuales afectan, principalmente, la disponibilidad de los servicios ecosistémicos de las comunidades impactadas por la intervención.
C. Tasa social de preferencia temporal
Conforme a las consideraciones propuestas en la sección 2 y el Apéndice A, la Ecuación (4) resume el planteamiento de cálculo propuesto por Ramsey (1928), donde (r) es la tasa de ahorro o TSPT, (ρ) la tasa pura de preferencias, (θ) la tasa a la que decrece el cambio de la utilidad marginal del consumo y (g) la tasa de crecimiento del consumo per capita. Cabe aclarar que ρ refleja las consideraciones intergeneracionales de una sociedad, mientras que el producto θg muestra las consideraciones que tiene la misma población para la asignación de recursos de forma intrageneracional.
Dado que en la literatura no hay un consenso único acerca de los indicadores económicos que reflejen cada uno de los parámetros de la Ecuación (4), este artículo estima el parámetro θ para cada año de estudio según la tasa marginal y la tasa efectiva promedio de tributación. Los datos de ρ y g son tomados de fuentes gubernamentales que reflejan la tasa de mortalidad y el gasto de consumo final de los hogares per capita.
1. Elasticidad de la utilidad marginal del consumo (θ)
Bajo el supuesto de que la tasa de cambio de la utilidad marginal sea decreciente uʺ (c)<0, y si se establece que el consumo de un individuo crece con el tiempo y de la misma forma lo hace su utilidad uʹ (c)>0, es posible plantear un valor relativo que mida la variación de la utilidad marginal en relación con las variaciones porcentuales del consumo. Esta expresión se conoce como la elasticidad de la utilidad marginal del consumo (θ) o elasticidad de la utilidad marginal del ingreso; los principales métodos para el cálculo de θ se basan en medir aversión al riesgo17 o la aversión a la inequidad de ingresos18 por medio de encuestas y decisiones gubernamentales (preferencias reveladas).
Según expone Castro et al. (2017) en su cálculo de TSD para Bolivia, es importante mencionar que de acuerdo con Kula y Evans (2011) el cálculo de la elasticidad de la utilidad marginal del consumo se puede determinar con diferentes métodos:
-
La derivación de θ a partir de la estimación de la elasticidad del ingreso y las elasticidades precio de la demanda compensada para los bienes o grupos de bienes, por ejemplo, los alimentos, como se expone en la Ecuación (5):
donde θ es la elasticidad ingreso de la demanda, c es la elasticidad precio de la demanda por el grupo de bienes (p. ej., alimentos) y w es la participación en el presupuesto del bien o grupo de bienes.
-
La derivación de θ a partir del comportamiento intertemporal del consumo, de modo que θ es el recíproco de la elasticidad de sustitución intertemporal del consumo, la cual se expresa en la Ecuación (6):
donde C es el consumo y r la tasa de interés en el periodo t.
-
La estimación de θ a partir de valores sociales revelados sobre medidas de política, por ejemplo, las tasas de tributación respecto del ingreso. La fórmula para θ basada en las tasas de tributación, con funciones de utilidad con preferencias isoelásticas, se expresa en la ecuación (7):
donde
es la tasa marginal de tributación respecto del ingreso, T es el valor del impuesto y Y es el ingreso gravable. Esta aproximación, usada por López (2008) es un insumo en este artículo para estimar el parámetro θ.
D. Tasa social de descuento decreciente (descuento gamma)
Uno de los principales factores en la evaluación de proyectos con impactos ambientales es la larga temporalidad de sus impactos, los cuales pueden trascender por generaciones. Normalmente, en las evaluaciones ACB de los proyectos de inversión, se usan tasas constantes, cuya función expresa un descuento exponencial invariable en el tiempo en una forma reducida, como se indica la ecuación de factor de reducción (8):
donde r es la tasa de descuento y t es el tiempo. Según este primer supuesto y evidencia empírica, Weitzman (2001) plantea otro, en el cual la función de densidad de probabilidad f(r) de la variable aleatoria r se distribuye de forma gamma, por lo que espera un descuento hiperbólico conforme avanza el tiempo. El autor resume los dos supuestos en que, a pesar de que cada individuo realiza una aproximación exponencial constante de la tasa de descuento, los datos agregados de una sociedad tienen una distribución decreciente en el tiempo (función gamma). La ecuación (9) muestra su forma general:
donde α y β son parámetros positivos calculados a partir de los datos. Dados los anteriores supuestos, se plantea el cálculo de la tasa efectiva de descuento decreciente en el tiempo, para resaltar que lo agregado con la integral no son las tasas de descuento de los individuos sino sus funciones de descuento. Correa (2008) ejemplifica esta diferencia para Colombia con el siguiente caso, tomado de Edwards (2002):
Supóngase que dos individuos racionales, ambos con información completa, consideran que la tasa de descuento debe ser 8 % y 12 %, respectivamente.
Ahora, si se determina que se van a ponderar ambas posiciones de igual manera, entonces un dólar en el año 10 equivaldría, en términos de valor presente a:
no obstante, este valor es diferente cuando se promedian las tasas:
Puede observarse que cuando se promedian las tasas individuales da como resultado un factor agregado menor con respecto a la alternativa de ponderar las funciones de descuento. (p. 151)
Lo anterior también indica que, cuando se ponderan las funciones de descuento, se obtiene una tasa efectiva de descuento menor de la que se obtiene cuando se promedian las tasas de descuento, cuyos valores para el ejemplo pasado fueron del 9,8 y 10 %, respectivamente.
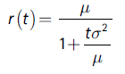
Si los dos individuos realizan los mismos descuentos pero con un horizonte de tiempo a 100 años, ocurre que, mientras la tasa promedio se mantuvo en el 10 %, la tasa efectiva de descuento para la ponderación de los factores disminuyó del 9,8 al 8,72 %, lo cual muestra que, si bien puede haber personas que no consideren tasas decrecientes en tiempo, “cuando se agregan en el amplio rango de opiniones de los encuestados, siempre habrá lugar al descuento temporal decreciente en sociedad” (Correa, 2008, p. 159). Campos et al. (2015) resumen este supuesto como que es la incertidumbre sobre qué tasa usar, no un tipo de interés incierto, lo que fluctúa con el tiempo. La ecuación (10) expresa los supuestos.
donde (µ) corresponde a la media y (σ2) a la varianza de los datos calculados para un tiempo t (año). Weitzman (2001) realizó una encuesta a 2100 doctores en Economía en todo el mundo, en la cual a cada uno preguntó “¿Cuál es la tasa de interés que debería usarse para el descuento de los beneficios y costos de los proyectos encaminados a mitigar los posibles efectos del cambio climático?”. Los resultados encontrados muestran una media de µ = 3,96 % y una desviación estándar de σ = 2,94 %.
En una aplicación para Colombia, Correa (2008) utilizó la metodología de Weitzman (2001) y les preguntó a 54 economistas que trabajan en universidades colombianas cuál debería ser su tasa de descuento ideal para proyectos que mitiguen el cambio climático. Los resultados arrojaron para proyectos con horizontes de tiempo inferiores a 5 años una media del 10,7 % y una desviación del 5,45 %, valores notablemente superiores a los encontrados por Weitzman. La Tabla 1 resume los valores encontrados por Correa y Weitzman.
III. Metodología y datos
La metodología para la estimación anual de la TAD para Colombia en el periodo de 2001 a 201619 incorpora el valor de la TSPT como valor aproximado de TAD (Ramsey, 1928). La ecuación (11) resume la propuesta de Ramsey, que es utilizada en este artículo y su derivación se muestra en el Apéndice A:
donde (r) corresponde a la TSPT para el año t, (ρt) es la tasa pura de preferencias temporal, (θt) es la elasticidad de la utilidad marginal del consumo y (gt) es la tasa de crecimiento del consumo per capita.
A partir de los valores anuales calculados para (r), y según las cifras de tasa de descuento decreciente encontradas por Correa (2008) para Colombia, este artículo supone que la TSPT registra una distribución decreciente en el tiempo r(t) con forma funcional gamma, por lo que se calculan tasas anuales para un horizonte de tiempo de los impactos de un proyecto de 200 años (ecuación 12). Los resultados se resumen en las tasas promedio de los años, de acuerdo con el siguiente esquema: 1-10 años corto plazo, 11-20 años mediano plazo y 21 años en adelante a largo plazo. El esquema de tiempos seleccionado se realizó según el horizonte de vida del proyecto (hvP) reportado en una muestra de 300 licencias analizadas por la ANLA, en que se encontró que el 37 % corresponden a proyectos con (hvP) menor de 10 años, el 35 % entre 11 y 20 años y el 28 % mayor o igual a 21 años (ANLA, 2018).
Donde (µ) y (σ) corresponden a la media y la desviación estándar, respectivamente, de los datos calculados para el periodo de 2001 a 2016.
A. Tasa pura de preferencias (ρt)
Siguiendo las recomendaciones de Pearce (1999), en este artículo se usa el promedio de la tasa de mortalidad de Colombia del periodo de 2001 a 2016 reportada por el BM, cuyo valor indica la cantidad de muertes en un año por cada 1000 habitantes. La tasa de mortalidad refleja la probabilidad de que un individuo no sobreviva de un periodo a otro, por lo que en términos prácticos su valor se asocia con la tasa pura de preferencia de un individuo por el consumo presente, ya que ante la probabilidad de no poder consumir en el futuro se hace más valioso el consumo actual.
La tasa de mortalidad anual y la tasa de natalidad de Colombia desde 2001 hasta 2016 en porcentaje, según las cifras reportadas por el BM, redondean el valor del 0,57 y el 1,9 %, respectivamente. Cabe recordar que la tasa de mortalidad se asocia en este artículo con la tasa pura de preferencias, y puesto que tasa de mortalidad se ve afectada por la tasa de natalidad en cuanto a la distribución de la edad o pirámide poblacional, se considera prudente mostrar la tasa de natalidad para el análisis. En el periodo analizado, el valor de la tasa de mortalidad se divide en dos momentos: de 2001 a 2006 y de 2007 a 2016. En el momento uno, se nota una leve reducción de la tasa de mortalidad soportada por una alta tasa de natalidad. El momento dos, se caracteriza por un aumento de la tasa de mortalidad respecto de la tasa de 2006 y una constante disminución de la tasa de natalidad, lo cual arroja como resultado una población con mayor edad, cifra que influye en un cambio del patrón de las causas de defunción.
B. Tasa de crecimiento del consumo per capita (gt)
En este artículo, no se trabaja con las tasas de crecimiento del PIB per capita históricas debido a que su método actual de medición no incluye la depreciación del capital natural ni las deducciones por el agotamiento y deterioro de los recursos naturales, por lo que su valor probablemente sobreestima las tasas de crecimiento reportadas20. Entonces la variable seleccionada para la presente estimación utiliza el crecimiento anual porcentual del gasto de consumo final de los hogares per cápita GCFpp, cuyo valor teóricamente no debería sobreestimar el crecimiento del consumo.
El valor de GCFpp se calcula con el gasto de consumo final de los hogares a precios constantes de 2005, al igual que las estimaciones de población del Departamento Administrativo Nacional de Estadística (DANE). El gasto de consumo final de los hogares (consumo privado) es el valor de mercado de todos los bienes y servicios, incluidos los productos durables comprados por los hogares. Queda excluida la compra de viviendas, pero englobada la renta imputada de las viviendas ocupadas por sus propietarios, al igual que los montos y aranceles pagados a los gobiernos para obtener permisos y licencias.
Es prudente mencionar que en el periodo de 2001 a 2016 Colombia reportó un crecimiento anual porcentual del gasto de consumo final de los hogares per capita (GCFpp) del 2,55 %. No obstante, estos valores incluyen una tasa negativa de crecimiento en 2009, así que resulta prudente considerar que su uso incumple con uno de los principales supuestos de la TSPT, que enuncia explícitamente una tasa de crecimiento de consumo positiva21. Por lo anterior, en este artículo no se considera el valor de 2009, y para ser consecuente con la metodología propuesta, el cálculo de TSPT promedio se formula con los valores agregados de 2001 a 2008 y de 2010 a 2016.
C. Elasticidad de la utilidad marginal del consumo (θt)
Este artículo utiliza la metodología de Evans (2005), Evans y Sezer (2004) y Stern (2006) planteada en López (2008), en la cual se asume que la estructura de impuestos de un país refleja un principio de igualdad, en que la utilidad de consumir una unidad adicional de dinero sea igual al sacrificio de pagar una unidad adicional de impuesto.
Azqueta et al. (2007) ilustra esta igualdad, en la cual el sacrificio de una persona A que gana $1000 y que paga $30 de impuesto al año puede ser equivalente al sacrificio de una persona B que gana $10 000 y paga $2000. Esta misma situación puede ser vista desde la utilidad en la cual el bienestar de un ingreso adicional de $30 en una persona A con un salario de $1000 es equivalente al bienestar de un ingreso adicional de $2000 en persona B que gana $10 000 anuales.
Así, la aversión a la inequidad en una sociedad θ estaría dada, no en función de la cantidad de impuestos que pagan las personas, sino en función del sacrificio o desutilidad que le representa a cada una de ellas hacerlo.
Si se asume una elasticidad constante y se introduce una función isoelástica de utilidad del ingreso con aversión relativa al riesgo constante CRRA (por sus siglas en inglés) al derivar la utilidad respecto al ingreso se obtiene un valor proxy de elasticidad de la utilidad marginal del ingreso, la cual está en función de la tasa marginal de tributación respecto del ingreso
; y T(Y) que es la proporción del impuesto respecto al ingreso gravable Y. En la ecuación (13), se resume la metodología del cálculo cuya derivación matemática propuesta se muestra en el Apéndice B.
Según lo indicado, la elasticidad de la utilidad marginal del consumo (θ) o coeficiente relativo de aversión al riesgo-inequidad se define como el cociente entre dos logaritmos, en el que el numerador contiene el término de la tasa marginal de tributación y el denominador su tasa promedio.
La carga tributaria de un país y sus respectivas tasas marginal y promedio pueden ser evaluadas a partir de tres causas generadoras de gasto: a) el consumo y los ingresos de los factores de producción, b) el trabajo y c) el capital (Rincón-Castro, Delgado-Rojas y León-Castro, 2018). Siendo consecuente con la metodología del cálculo de la TSPT en la cual se plantea el uso de los recursos naturales como un dilema prioritario del consumidor, el cálculo de θ debería usar valores de las tasas marginales y promedio tributarias de consumo. Sin embargo, una de las principales limitantes para desarrollar este procedimiento radica en la disponibilidad de información de ambas tasas, ya que, según lo expuesto, los dos valores surgen de la misma función de utilidad. En consecuencia, si se evalúa la tasa promedio de consumo
, se tendría que evaluar su análoga tasa marginal de consumo
y no la del trabajo o capital. La literatura consultada en este artículo no evidenció ninguna estimación de la tasa marginal de tributación de consumo actualizada en el nuevo milenio. Por el contrario, en 2007 la Oficina de Estudios Económicos de la DIAN realizó una estimación de la tasa marginal de tributación
para el capital de las empresas en Colombia (Ávila-Mahecha y León, 2008). Asimismo, Rincón et al. (2018) estimaron la tasa efectiva promedio de tributación de las sociedades22
para el periodo de 1996 a 2016. De esta forma, y frente a las limitaciones expuestas con las tasas de consumo, en este artículo se calcula la elasticidad marginal del consumo con las tasas efectivas promedio y marginales de las empresas, calculadas en los estudios citados23.
1. Tasa marginal de tributación 
La tasa marginal de tributación
debe indicar cómo cambia la tasa efectiva de tributación ante el cambio de una unidad adicional del ingreso. En este artículo, se utilizan como proxy de
los valores de las tarifas efectivas marginales calculadas por Ávila-Mahecha y León (2008) para el régimen tributario de las empresas expuestas en la Ley 863/2003, de 29 de diciembre y la Ley 1111/2006, de 27 de diciembre24. Cabe mencionar que, dentro de las principales cargas tributarias analizadas en el estudio de Ávila-Mahecha y León para la DIAN en 2008, se encuentra el impuesto de renta, el impuesto al patrimonio, el IVA, los aranceles, el gravamen a los movimientos financieros, el impuesto predial y el impuesto de industria y comercio. Así, las
calculadas con enfoque tributarista involucran la carga tributaria sobre los retornos esperados en las inversiones, según la normativa vigente. En Ávila-Mahecha y León se define la metodología de Fullerton25,
, como el cociente entre la diferencia del retorno bruto esperado (Rb) menos el retorno neto Rn dividido en el Rb. La ecuación (14) muestra la igualdad:
Asimismo, el Rb se define como la tasa de retorno bruta depreciada, cuyo valor garantiza el equilibrio entre el costo de adquisición de un activo y el valor presente de sus utilidades netas de impuestos. El retorno neto Rn es la suma del retorno neto percibido por los acreedores del impuesto de renta más los dividendos pagados a los accionistas26.
2. Tasa efectiva promedio de tributación 
Rincón-Castro et al. (2018)27 definen la tasa efectiva promedio de tributación,
, como la relación entre el recaudo de un impuesto i y su base gravable potencial, base que no considera los beneficios tributarios otorgados por la elusión y la evasión. Esta tasa posibilita medir la distribución de la carga tributaria entre los factores de producción como el capital y el trabajo, pero no entre los distintos niveles de ingreso de los contribuyentes.
Este artículo utiliza los valores de las tasas efectivas promedio de tributación neta de las empresas (sociedades) calculada para el periodo de 2001 a 2016 por Rincón-Castro et al. (2018) como proxy de la tasa efectiva promedio
requerida en el cálculo de θ. Cabe anotar que la principal razón de la escogencia del periodo de 1994 a 2016 analizado para la TAD radica en el rango de datos disponibles de
. Por esta razón, la
se define en la ecuación (15) como:
Para explicar el procedimiento de cálculo con enfoque económico, Rincón-Castro et al. (2018) indican que el numerador lo conforman los impuestos corrientes sobre la riqueza pagados por las sociedades (ICIS), más el monto respectivo del IVA pagado en sus compras de bienes de inversión (IVAKS). Y que el denominador o base gravable del impuesto son los excedentes brutos de explotación de las sociedades (EBES) menos las depreciaciones imputadas al capital fijo de las sociedades (DS). Se debe advertir que el cálculo de la tasa efectiva promedio de tributación bruta lo componen los mismos términos enunciados en la ecuación (12), pero no se resta la depreciación.
Los datos calculados reflejan una
neta promedio en el periodo de 2001 a 2016 del 25,03 % con un valor máximo del 32,2 % y un mínimo del 19,8 % calculados en 2015 y 2001, respectivamente. En el mismo sentido, se observa una tendencia de crecimiento positivo que indica que desde 2001 se aumenta anualmente casi en una unidad la contribución tributaria promedio de las sociedades. Estos valores están principalmente soportados con impuestos como el IVA (16 %), el impuesto sobre la renta (25 %), el impuesto contribución de renta para la equidad (CREE) (9 %) y la sobretasa del 6 % del CREE, que resulta en tasa agregada contable del 40 % (Rincón-Castro et al., 2018). Es importante agregar que en este estudio se encuentra que en 2016 la tasa sobre el capital de los hogares es del 6,2 %, mientras sobre el capital de las sociedades es del 31,1 %, lo que muestra las marcadas diferencias impositivas que recaen sobre las personas jurídicas y naturales.
E. Tasa de descuento para licenciamiento ambiental
Retomando la ecuación (4) del cálculo de la TSPT (rt), y según las metodologías expuestas para estimar sus parámetros, la TAD anual (rt) en Colombia en el periodo de 2001 a 2016* estará dada por la tasa de mortalidad (ρt), la tasa de crecimiento anual del gasto de consumo final de los hogares per capita (gt) y la elasticidad de la utilidad marginal del consumo (θt), cuyo valor se calcula como el cociente del logaritmo de uno menos la tasa marginal de tributación,
dividido entre el logaritmo de uno menos la tasa efectiva de tributación,
.
Finalmente, cabe recordar que rt seguirá el supuesto de tasa de descuento decreciente con distribución gamma.
IV. Análisis y resultados
A. Tasa de descuento para licenciamiento ambiental de 2001 a 2016
La Tabla 2 en la columna 7 reporta los valores calculados para la TAD, según el modelo de Ramsey de TSPT. En el mismo sentido, desde la columna 2 (tasa pura de preferencias) hasta la columna 6 (tasa crecimiento de consumo per capita) se muestra el valor de los parámetros usados para el cálculo de la TAD.
Tabla 2.
Tasa de descuento para licenciamiento ambiental de Colombia entre 2001 y 2016* (%)

Fuente: cálculos propios con datos del BM, DANE, Ávila-Mahecha y León (2008) y Rincón-Castro, (2018).
De manera agregada, los datos de la TAD muestran una tendencia decreciente a lo largo del tiempo, con una media (µ) del 4,88 % y una desviación estándar (σ) del 2,82 %. Estos datos se asimilan a las cifras reportadas por Weitzman (2001), cuyas µ y σ fueron del 3,96 y el 2,94 %, respectivamente. Otra particularidad de los valores encontrados para Colombia y la literatura internacional radica en la alta volatilidad de estos, con una estimación de un máximo del 10,47 % en 2006 y un mínimo del 0,81 % en 2001. Estos cambios son influenciados principalmente por el gasto de consumo final de los hogares per capita (gt) y la variación de la elasticidad de la utilidad marginal del consumo (θ), cuyo valor disminuyó drásticamente a partir de 2007 con el cambio de la tasa marginal de tributación,
, debido a la Ley 1111/2006, de 27 de diciembre y su reforma tributaria 1111 de 200628 que reemplazó al régimen tributario de la Ley 863/2003, de 29 de diciembre.
En términos generales (gt). la columna 6 (Tabla 2), muestra una tendencia positiva con un valor promedio de crecimiento del consumo del 2,75 %. Respecto de la variabilidad (gt), es importante anotar que, según el DANE, una de las principales causas de la desaceleración en el crecimiento del gasto de los hogares se dio por el leve incremento en el consumo de bienes no durables y su alta participación en el total de los bienes y servicios producidos, cuyas cifras promedio reportaron el 2,8 y el 35 %, respectivamente. En contraste, las cifras del DANE muestran que los mayores aumentos en la tasa de crecimiento de consumo fueron respaldos por el gasto en bienes durables, cuya tasa y participación en total de bienes y serviciosfue del 10,4 y el 4 %, respectivamente.
Las cifras calculadas en la columna 5 de la Tabla 2 muestran cómo tendencialmente a lo largo del tiempo, la elasticidad de la utilidad marginal del consumo θ decreció conforme se igualaron más las cargas tributarias de las sociedades29, cuyo valor promedio fue de 1,64. Así, es posible sugerir que en Colombia cada vez es menor la tasa a la cual la tributación marginal del ingreso decrece por cada aumento porcentual de la base gravable. De acuerdo con la evidencia internacional, los valores θ reportados en este artículo soportan las cifras estimadas para nueve países latinoamericanos en los que se incluye Colombia, cuyos rangos oscilaron entre 1,1 y 1,9 (López, 2008). Asimismo, las estimaciones concuerdan con las cifras encontradas para 20 países de la OCDE, cuyos límites de q fluctuaron entre 1,79 y 1,00 (Evans, 2005).
Los resultados de la columna 7 de la Tabla 2 muestran la variabilidad de la TAD en el tiempo y su tendencia decreciente, lo cual contempla la posibilidad de considerar, empíricamente, un descuento hiperbólico en el tiempo para la TAD, como se muestra en la Figura 2 a partir de 2006.
Figura 2.
Tasa de descuento para licenciamiento ambiental de Colombia entre 2001 y 2016* (%)

Fuente: cálculos propios con datos del BM y del DANE (Ávila-Mahecha y León, 2008; Rincón-Castro, 2018).
Respecto de la volatilidad de θ, resulta evidente que gran parte de esta se da como consecuencia de la reforma tributaria de 2006, en la cual la tasa marginal de tributación, (
), de las empresas disminuyó notablemente pasando del 41,4 al 32,9 % (columna 3, Tabla 2). Vale la pena anotar que, a pesar de la disminución promedio, en ninguno de los regímenes de las leyes se confirmó un patrón directo entre la utilidad gravable y el tributo marginal pagado por cada sector, con lo que no se demostraron “sacrificios” equivalentes entre el retorno esperado y el pago de impuestos, dado que en las dos reformas estudiadas algunos sectores con altas utilidades contenían múltiples tratamientos especiales (subvenciones o exenciones), lo que distorsionó las tarifas nominales exhibidas.
En términos prácticos, estas distorsiones conllevan que en la realidad no siempre se materialice la aversión a la inequidad de una sociedad (θ) con las cargas tributarias según las rentas percibidas, beneficiando en algunos casos a los sectores con mayores rentas y afectando a aquellos con menores. En un contexto regional, θ puede ser usado para calcular pesos de bienestar que ayudan a dirigir los recursos sobre las zonas más necesitadas30 (Evans, 2005). Los valores altos de θ sugieren mayores pesos sobre las regiones con menor índice de bienestar, mientras que los valores cercanos a 0 indican menores pesos, es decir, que su ponderación no tiene ningún componente adicional sobre las otras regiones con mejores ingresos.
Las estimaciones de valores inferiores de θ a lo largo del tiempo indican que en Colombia cada vez es menor la ponderación para la aversión por la inequidad de ingreso, por lo que puede mencionarse que en el periodo analizado la sociedad colombiana pasó de un enfoque más igualitario a un enfoque más utilitario, en el que se valoraron todos los sectores bajo ponderaciones de bienestar más homogéneos, y no se dio mayor peso a aquellos con los menores ingresos.
B. Tasa de descuento decreciente (descuento gamma)
Dada la gran variación de las TAD calculadas, y en concordancia con la evidencia empírica de Correa (2008) para Colombia, de Edwards (2016) para Chile y Kamiche y Diderot (2018) para Perú, al modelar mediante la distribución gamma las tasas de descuento de la Tabla 2, columna 7, y ponderar los factores de descuento, se establece que la TAD para Colombia declina en el tiempo. Con lo anterior, y a partir de una media (µ) del 4,88 % y una desviación estándar (σ) del 2,82 %, en la Tabla 3, columna 3, se muestran los resultados promedio encontrados según los horizontes de tiempo enunciados en la columna 1. Así, el valor reportado del año 0 al 10 es igual al promedio de los valores calculados para cada uno de los años del periodo, empezando con el valor del 4,88 % para el año 0 y terminando con un valor del 4,2 % para el año 10. Para la aplicabilidad de los cálculos estimados, se sugiere trabajar con valores de la TAD enteros.
Tabla 3.
Tasa de descuento decreciente para licenciamiento ambiental en Colombia

Fuente: cálculos propios.
Como complemento del análisis se realizó una prueba estadística a fin de observar si los valores eran consistentes (si la media de las TAD definidas entre los plazos propuestos eran diferentes entre sí). Las pruebas utilizadas fueron de hipótesis de dos colas con nivel de significancia (α) del 95 %, cuyos resultados fueron soportados con la estimación de los intervalos de confianza respectivos. Debido a que el corto y mediano plazo cuentan con 11 datos para cada una las muestras, se usó la técnica de Bootstrap para simular, aleatoriamente, la estimación de 1000 medias según los datos reportados en cada uno de los años. Este mismo procedimiento fue realizado con el largo plazo. Los resultados se muestran en la Tabla 4.
Tabla 4.
Estadística descriptiva según plazo de la TAD: resultados de remuestreo con técnica Bootstrap

Fuente: elaboración propia con datos de la muestra.
Al realizar pruebas de hipótesis comparando las medias de Bootstrap entre plazo corto y mediano, se obtiene p-valor inferior a 0,005, por lo que al 95 % de confianza se tendría suficiente evidencia para rechazar la hipótesis de nula de que las medias de estos dos plazos son iguales. Resultados similares fueron encontrados al realizar la prueba Bootstrap de hipótesis entre el mediano y el largo plazo, por lo que al 95 % de confianza se tendría suficiente evidencia para rechazar la hipótesis de nula que las medias son iguales.
Una aplicación de Weitzman (2001) surge del cálculo de una única tasa constante equivalente, en caso de que se tuviera que seleccionar una tasa que represente la curva decreciente del descuento31. Según la muestra analizada, la TCE para Colombia estaría alrededor del 3 %. La Figura 3 muestra la dispersión de los datos de la TAD conforme transcurren los años, de manera que es posible afirmar que, dado el supuesto de la TAD con distribución gamma, la sociedad emplea una tasa de descuento más alta para aplicarla a corto plazo, en relación con el consumo a largo plazo, por lo que se refuerza la hipótesis del descuento hiperbólico y su necesidad en la diferenciación en tasas según la temporalidad. Para proyectos cuyos impactos superen los 100 años se sugiere incorporar tasas cercanas al 1 %.
V. Conclusiones
La variabilidad de las tasas de descuento para proyectos objeto de licenciamiento ambiental (TAD) estimadas para el periodo de 2001 a 2016 indica que es posible plantear una TAD decreciente en el tiempo en Colombia, debido a la diferencia anual de los factores de descuento calculados. Con la anterior identidad matemática soportada y bajo el supuesto de la distribución gamma propuesta por Weitzman (2001), las tasas de descuento (TAD) para Colombia en periodo de 2001 a 2016 declinan (son decrecientes) en el horizonte de tiempo de los proyectos, con lo que se comprueba en forma empírica lo señalado en la hipótesis de trabajo.
En este artículo, las TAD estimadas para descontar los beneficios y costos de los proyectos objeto del licenciamiento fueron del 5, 4 y 2 % para el corto (0-10 años), mediano (11-20 años) y largo plazo (>=21 años), respectivamente. Los valores medios encontrados para cada plazo son estadísticamente diferentes.
Bajo la metodología de Ramsey (1928) de tasa social de preferencias temporales (proxy de TAD), es posible concluir que en los años estudiados las consideraciones intrageneracionales (θg) de la sociedad predominaron sobre las consideraciones intergeneracionales (ρ). No obstante, en los últimos años, estas últimas aumentaron su participación notablemente.
Las reformas tributarias adoptadas durante el 2003 y 2006 mostraron una sociedad con una menor tributación sobre las bases gravables de las empresas. De manera que, cuanto más igualitario sea el sistema impositivo en Colombia, es posible inferir que el descuento sobre el futuro será cada vez menor respecto del consumo presente.
Los flujos de beneficios y costos de proyectos o programas evaluados con tasas de descuento decrecientes favorecen los proyectos con beneficios netos a largo plazo. Las menores tasas de descuento contribuyen a argumentar la importancia del consumo futuro (desarrollo sostenible) y fortalecen la representatividad de los valores estimados para las generaciones futuras.
Finalmente, en busca de la sostenibilidad ambiental del país, la estimación de una TAD decreciente en el tiempo es solo una de las tres variables económicas más importantes que pueden contribuir con la conservación de un ambiente sano. Además, la correcta valoración económica de los impactos ambientales (precios) y la adecuada estimación de la temporalidad de los impactos deben priorizarse como los insumos esenciales de un análisis costo beneficio ambiental, cuya finalidad radica en escoger aquellos proyectos, obras o actividades que realmente aporten al bienestar y desarrollo sostenible de una sociedad.
Agradecimientos
Este trabajo surge como producto de nuevo conocimiento, derivado de la Convocatoria N.º 733 de 2015 Formación de Capital Humano de Alto Nivel para el Departamento de Boyacá. Se agradece al Fondo de Ciencia, Tecnología e Innovación del Sistema General de Regalías, a la Gobernación del Departamento de Boyacá, a la Autoridad Nacional de Licencias Ambientales (ANLA) y a la Universidad de los Andes por incentivar la investigación regional del capital humano calificado en el aparato productivo nacional. Los autores agradecen los valiosos comentarios y sugerencias de los evaluadores anónimos y asumen la responsabilidad por las opiniones contenidas en este artículo, las cuales no comprometen a ninguna de las entidades mencionadas.






































































