
Modelo alométrico para la estimación de biomasa y carbono almacenado en árboles de marañón (Anacardium occidentale L.) en agroecosistemas del Vichada, Colombia*
John Fredy Maldonado Coy**
Fundación Cataruben
Miguel Andrés Wilches Fonseca***
Fundación Cataruben
Naturaleza y Sociedad. Desafíos Medioambientales • número 14 • enero-abril, 2026 • pp. 1-25
https://doi.org/10.53010/nys14.07
Recibido: 31 de octubre de 2024 | Aprobado: 21 de agosto de 2025
Resumen. El cambio climático representa uno de los principales desafíos ambientales contemporáneos, impulsado por el aumento de gases de efecto invernadero derivados de actividades humanas. En este contexto, las soluciones basadas en la naturaleza ofrecen alternativas eficaces para la mitigación, como la captura de carbono mediante sistemas agroforestales. Este estudio presenta el desarrollo de un modelo alométrico específico para estimar biomasa aérea y carbono almacenado en árboles de marañón (Anacardium occidentale L.) en agroecosistemas del departamento de Vichada, Colombia. Se establecieron 62 parcelas distribuidas por estratos de edad, en las que se recolectaron variables dendrométricas como el diámetro del tronco a 30 cm del suelo (D30), la altura total y el diámetro de la copa. A partir de estas mediciones, se construyó un modelo de regresión polinomial con transformaciones logarítmicas, seleccionando como expresión final: ln(BA) = –3,777 + 3,158·ln(D30) – 0,118·(ln(D30))². El modelo mostró un alto grado de ajuste (R² ajustado = 0,99) y baja desviación estándar, lo que garantiza su aplicabilidad en contextos similares. Se adoptó un factor de expansión de biomasa de 1,895 para la estimación de carbono, basado en literatura especializada. Los resultados evidencian el potencial del marañón como sumidero de carbono, posicionándolo como una especie estratégica para programas de restauración ecológica y generación de créditos de carbono. Este trabajo contribuye al fortalecimiento de herramientas técnicas para la cuantificación de remociones en proyectos de aforestación y reforestación.
Palabras clave: biomasa aérea, biomasa subterránea, captura de carbono, ecuación alométrica, ecuación de regresión, reforestación.
Allometric Model for Estimating Biomass and Stored Carbon in Cashew Trees (Anacardium occidentale L.) in Agroecosystems of the Vichada Department, Colombia
Abstract. Climate change is one of the major current environmental challenges, driven by increasing greenhouse gas emissions from human activities. In this context, nature-based solutions offer effective mitigation alternatives, such as carbon capture through agroforestry systems. This study describes the development of a specific allometric model for estimating aboveground biomass and stored carbon in cashew trees (Anacardium occidentale L.) in agroecosystems of the Vichada department (Colombia). Sixty-two plots were established, organized by age groups, where dendrometric variables like trunk diameter at 30 cm above the ground (D30), total height, and crown diameter were measured. Using these measurements, a polynomial regression model with logarithmic transformations was developed, resulting in the following final expression: ln(BA) = –3.777 + 3.158·ln(D30) – 0.118·(ln(D30))². The model showed a high level of fit (adjusted R² = 0.99) and a low standard deviation, ensuring its applicability in similar situations. A biomass expansion factor of 1.895 was adopted for carbon estimation, based on specialized literature. The results highlight the potential of the cashew tree as a carbon sink, positioning it as a strategic species for ecological restoration programs and carbon credit generation. This work helps strengthen technical tools for measuring carbon removal in afforestation and reforestation projects.
Keywords: aboveground biomass, belowground biomass, carbon capture, allometric equation, regression equation, reforestation.
Modelo alométrico para a estimativa de biomassa e carbono armazenados em árvores de caju (Anacardium occidentale L.) em agroecossistemas de Vichada, Colômbia
Resumo. As mudanças climáticas representam um dos principais desafios ambientais contemporâneos, impulsionadas pelo aumento dos gases de efeito estufa decorrentes das atividades humanas. Nesse contexto, soluções baseadas na natureza oferecem alternativas eficazes para a mitigação, como a captura de carbono por meio de sistemas agroflorestais. Este estudo apresenta o desenvolvimento de um modelo alométrico específico para estimar biomassa e carbono acima do solo armazenados em árvores de caju (Anacardium occidentale L.) em agroecossistemas do departamento de Vichada, Colômbia. Foram estabelecidos 62 lotes distribuídos por estratos etários, nos quais variáveis dendrométricas como diâmetro do tronco a 30 cm do solo (D30), altura total e diâmetro da coroa foram mensuradas. A partir dessas medições, foi construído um modelo de regressão polinomial com transformações logarítmicas, selecionando como expressão final: ln(BA) = –3,777 + 3,158·ln(D30) – 0,118· (ln(D30))². O modelo apresentou alto grau de ajuste (R² ajustado = 0,99) e baixo desvio-padrão, o que indica sua aplicabilidade em contextos semelhantes. Foi adotado um fator de expansão de biomassa de 1,895 para a estimativa de carbono, baseado em literatura especializada. Os resultados indicam o potencial do caju como sumidouro de carbono, posicionando-o como uma espécie estratégica para programas de restauração ecológica e geração de créditos de carbono. Este trabalho contribui para o fortalecimento das ferramentas técnicas para a quantificação das remoções em projetos de florestamento e reflorestamento.
Palavras-chave: biomassa acima do solo, biomassa subterrânea, sequestro de carbono, equação alométrica, equação de regressão, reflorestamento.
Introducción
El cambio climático global representa actualmente uno de los desafíos más significativos para la humanidad y constituye una amenaza creciente para la vida en la Tierra. Este fenómeno se manifiesta a través de eventos extremos como olas de calor, sequías, inundaciones y tormentas intensas, que afectan tanto a los ecosistemas como a las comunidades humanas. La Organización Mundial de la Salud ha identificado esta problemática como la mayor amenaza sanitaria mundial del siglo XXI, debido a sus impactos directos e indirectos en el bienestar físico de las personas (Organización Panamericana de la Salud [OPS], 2025).
Las causas del cambio climático pueden clasificarse en naturales y antropogénicas. Entre las causas naturales se incluyen fenómenos como las erupciones volcánicas y las variaciones en la radiación solar. Sin embargo, en la actualidad, las actividades humanas son el principal motor del cambio climático. Los combustibles fósiles (carbón, petróleo, gas) son, con diferencia, los que más contribuyen al cambio climático mundial, ya que representan más del 75 % de las emisiones mundiales de gases de efecto invernadero y casi el 90 % de todas las emisiones de dióxido de carbono. A medida que las emisiones de gases de efecto invernadero cubren la Tierra, atrapan el calor del sol, lo que causa el calentamiento global y el cambio climático (Organización de las Naciones Unidas [ONU], 2025).
Por su parte, las plantas actúan como sumideros naturales de CO₂. Mediante la fotosíntesis, capturan dióxido de carbono atmosférico y, junto con la energía solar y el agua, generan biomasa aérea (Castellanos, 1989), que comprende estructuras como troncos, ramas, hojas, frutos y otros tejidos vegetales, cuya acumulación varía significativamente entre especies y depende directamente de la capacidad de adaptación y respuesta a las condiciones ambientales durante su desarrollo (Sígala et al., 2016).
La acumulación de biomasa, además de representar un proceso biológico esencial, constituye un componente clave en la estimación del carbono fijado en ecosistemas naturales y agroforestales. Para cuantificar este potencial de secuestro, se emplean diferentes modelos de estimación que varían según su nivel de complejidad y disponibilidad de datos, al incluir métodos directos destructivos y modelos indirectos basados en ecuaciones alométricas, teledetección y técnicas de modelado estadístico o espacial (Molto et al., 2013). Estos modelos permiten evaluar de manera precisa la cantidad de carbono almacenado en la biomasa aérea y subterránea, en tanto que facilitan su integración en los mecanismos de compensación como los mercados de carbono promovidos por acuerdos internacionales como el Protocolo de Kioto y el Acuerdo de París.
Existen dos métodos ampliamente utilizados para la estimación de biomasa forestal: el método destructivo y el método no destructivo basado en ecuaciones alométricas. El método destructivo —incineración de materia orgánica— implica la tala completa y posterior descomposición o incineración del árbol para obtener una medición directa de la biomasa. Aunque es considerado el más preciso, conlleva la pérdida inevitable de individuos arbóreos, y por tanto, solo se aplica en casos específicos, generalmente para la calibración de modelos predictivos o validación de ecuaciones alométricas (Grupo Intergubernamental de Expertos sobre el Cambio Climático [IPCC], 2003).
Por otro lado, el método no destructivo —ecuaciones alométricas— utiliza modelos matemáticos desarrollados a partir de mediciones fácilmente obtenibles como el diámetro a la altura del pecho (DAP), la altura del árbol y la densidad básica de la madera. Estas ecuaciones permiten estimar la biomasa aérea sin necesidad de cortar los árboles, por lo que se configura como una herramienta clave para el monitoreo y el seguimiento de carbono en programas de conservación y mitigación del cambio climático (Molto et al., 2013). Estos parámetros pueden validarse en campo mediante herramientas de medición como cinta métrica, decámetro, GPS, entre otros.
La selección adecuada de la ecuación alométrica para el cálculo de biomasa y la estimación de la captura de carbono constituye un factor crítico en los procesos de cuantificación, ya que una elección inapropiada puede representar la principal fuente de error en los resultados (Corporación Autónoma Regional de Cundinamarca [CAR], 2013).
Este trabajo expone el estudio de 62 parcelas de marañón (Anacardium occidentale L.), realizado en la Orinoquía colombiana, en el departamento del Vichada y, con ello, el desarrollo de una ecuación alométrica específica para la estimación no destructiva de su biomasa aérea (AGB), usando parámetros tomados en campo. Además, se presenta la comparación de ecuaciones validadas para la medición de AGB en otras especies arbóreas, que referencian el uso de las mismas variables para su cálculo.
Este proyecto fue desarrollado a través de la metodología de mecanismo de desarrollo limpio (MDL) referenciada en la “Guía para la cuantificación de la biomasa y el carbono forestal, generación de modelos y uso de herramientas para su estimación”, elaborada por la CAR (2013). Esta entidad ejerce como máxima autoridad ambiental a nivel regional en Colombia, al promover el desarrollo sostenible, mediante la ejecución de políticas, planes, programas y proyectos ambientales.
Marco teórico
En este marco se justifica la necesidad de desarrollar modelos alométricos locales, adaptar herramientas consolidadas de estimación de biomasa al contexto regional y respaldar el uso de tales modelos en iniciativas de captura de carbono y generación de créditos con trazabilidad verificable, en concordancia con mecanismos de mercado climático, mencionados en el Artículo 6 del Acuerdo de París (ONU, 2015).
La estimación de biomasa y carbono en ecosistemas forestales y agroforestales constituye una herramienta clave para cuantificar remociones de gases de efecto invernadero (GEI), particularmente en proyectos de aforestación y reforestación orientados a generar créditos de carbono. En este contexto, los modelos alométricos se han consolidado como una metodología eficiente para estimar biomasa de forma no destructiva, mediante el uso de variables dendrométricas como el diámetro a la altura del pecho (DAP), la altura total y la densidad básica de la madera (Picard et al., 2012).
En términos generales, un modelo alométrico es una función matemática que permite estimar la biomasa de un árbol a partir de variables de fácil medición como el DAP, la altura total del árbol y, en algunos casos, la densidad de la madera (Segura y Andrade, 2008). Estas herramientas han demostrado ser eficaces en la estimación no destructiva de carbono en diferentes ecosistemas, especialmente cuando se diseñan a nivel específico de especie y sitio (Picard et al., 2012).
Con esta finalidad, se han desarrollado ecuaciones específicas para plantaciones de Hieronyma alchorneoides y Vochysia guatemalensis, así como para 35 especies en bosques secundarios de la zona Caribe de Costa Rica. A través de un muestreo destructivo, calcularon factores de expansión de biomasa y relaciones entre biomasa aérea y radical, y obtuvieron coeficientes de determinación ajustados mayores al 91 %. De igual forma, Solano et al. (2014) reportaron modelos con un R² superior al 95 % en bosques secos del noroccidente del Ecuador, utilizando DAP y altura como predictores confiables. En México, Aquino-Ramírez et al. (2015) desarrollaron ecuaciones para estimar la biomasa aérea total y su partición en componentes estructurales en especies tropicales como Cupania dentata e Inga punctata, con modelos ajustados que alcanzaron valores de R² superiores al 0,98.
Otros estudios han confirmado la relevancia de la estructura forestal y la composición florística en la acumulación de carbono. Por ejemplo, en bosques montanos bajos del sur del Ecuador, Lozano Sivisaca et al. (2018) encontraron que la familia Moraceae presentaba altos valores de biomasa, al aplicar modelos que usaban DAP² y altura como variables predictoras. Por su parte, Méndez González et al. (2021) proponen un enfoque de alometría generalizada, donde la relación altura-diámetro permite obtener estimaciones precisas con menor esfuerzo de medición en campo, lo cual resulta útil en zonas de difícil acceso o con recursos técnicos limitados.
En el contexto colombiano, la región de la Orinoquía presenta un alto potencial para implementar modelos específicos debido a su biodiversidad, condiciones edafoclimáticas particulares y creciente interés en sistemas productivos sostenibles como la agroforestería con marañón. La información sobre su producción y rendimiento es limitada, pues los datos reportados por el Gobierno nacional en las evaluaciones agropecuarias municipales (EVA) y encuestas nacionales agropecuarias (ENA), no reflejan la realidad, ya que no incluye plantaciones distantes de centros urbanos. Sin embargo, se reporta que para el 2019 el área sembrada fue de 7986 ha, con 4300 ha en la altillanura de Vichada, que corresponde al 53,84 % del total nacional establecido mediante clones1 y manejo tecnificado (Orduz y Rodríguez, 2022).
En el departamento de Vichada se encuentran 4300 ha de cultivo de marañón, distribuidas en Puerto Carreño (93,02 %) y La Primavera (6,98 %) (Orduz y Rodríguez, 2022). Los cultivos se sitúan en la altillanura, en depósitos de arcillas y limos con contenidos variables de materia orgánica, suelos planos a ondulados, profundos y moderadamente profundos, texturas moderadamente gruesas, drenaje bueno y moderadamente excesivo, saturación de aluminio alta a muy alta, reacción moderada, fuerte y muy fuertemente ácida, y fertilidad natural muy baja. El clima de Puerto Carreño es clasificado como cálido semi húmedo (CH) y la precipitación promedio es de 1620 mm (Orduz y Rodríguez, 2022).
Por otro lado, el marañón (Anacardium occidentale L.) es una planta nativa de América tropical, cuyo centro de origen es la zona central de Brasil y se encuentra de forma silvestre en las sabanas de Colombia, Venezuela y las Guayanas (Orwa, 2009). Es una planta perenne, de ramificación baja, que presenta porte variado con altura entre 5 a 14 m y ancho del dosel hasta 20 m, raíz con formato pivotante, hojas simples, enteras con pecíolos cortos y sin estípulas. Presenta una inflorescencia tipo panícula con formato piramidal que posee flores perfectas o completas hermafroditas y estaminadas (masculinas), con proporción variable, dependiendo del genotipo, la planta y la panícula (Barbosa De Sousa et al., 2007; Lopes Serrano y de Paula Pessoa, 2016).
Además, ha sido reconocido por su capacidad de adaptación a climas tropicales y su potencial como sumidero de carbono, tanto en su biomasa aérea como en el sistema radical. Sin embargo, hasta el momento, no se contaba con un modelo alométrico adaptado para el marañón en dicha región, lo cual representaba un vacío técnico para la estimación precisa de biomasa y carbono. No obstante, su morfología particular —tronco corto y copa extendida— implica que los modelos generales no ajustados a su fisiología pueden generar errores significativos en la estimación de biomasa.
De acuerdo con la Corporación Autónoma Regional de Cundinamarca [CAR] (2013), es indispensable contar con modelos construidos a partir de mediciones de campo representativas del ecosistema y la especie objetivo para garantizar la precisión en la estimación de reservas de carbono. En este sentido, el presente estudio contribuye a subsanar este vacío metodológico mediante la construcción de un modelo específico para marañón en el Vichada, alineado con las herramientas metodológicas (United Nations Framework Convention on Climate Change [UNFCCC], 2011) del MDL y basado en regresión polinomial con transformaciones logarítmicas.
Metodología
Para el desarrollo del modelo alométrico, se realizaron los siguientes procesos con el fin de obtener como resultado una ecuación para el marañón.
Área de estudio y condiciones generales
El estudio se llevó a cabo en el periodo comprendido entre abril y mayo de 2023 en el extremo oriental de Colombia, departamento del Vichada, región de la Orinoquía. Las coordenadas geográficas se muestran mediante la tabla 1.
|
Coordenadas geográficas |
Latitud Norte |
Longitud Oeste |
|---|---|---|
|
Punto 1 |
06º19’34’’ |
67º25’1’’ |
|
Punto 2 |
02º53’58’’ |
71º7’10’’ |
Tabla 1. Coordenadas de referencia del área de estudio. Fuente: elaboración propia.
Puerto Carreño es la capital del departamento de Vichada y el municipio más oriental de Colombia, con una altitud promedio de 51 metros sobre el nivel del mar. El clima en esta región se caracteriza por ser cálido, húmedo y con una alta nubosidad durante todo el año. La temperatura media anual es de aproximadamente 28,2 °C, con máximas que pueden alcanzar hasta 42,7 °C (Ideam, s.f.), condiciones que favorecen los cultivos de marañón (Olarte et al., 2021). En la Figura 1 se ilustra la ubicación geográfica de las áreas donde se llevó a cabo el estudio. Se eligieron 6 predios ubicados en dos veredas: Puerto Murillo y La Libertad.

Figura 1. Mapa del área de estudio. Fuente: elaboración propia.
Los seis predios seleccionados en la zona comparten condiciones edafoclimáticas similares, con topografía plana y una distancia de siembra de 12 × 15 metros. El manejo técnico aplicado en estos predios incluye la preparación del suelo mediante la técnica de ahoyado, riego por bombeo y podas de manejo, prácticas que buscan optimizar el crecimiento y desarrollo de las especies plantadas en un entorno con limitaciones edáficas.
Muestreo en campo
Se realizó una estratificación en concordancia con los planes de establecimiento (especie/año de siembra), que corresponden a áreas de cultivo con siembras de 2008, 2011, 2017, 2018, 2020 y 2021. Teniendo en cuenta que las áreas son homogéneas, se trabajó con parcelas circulares (Olarte et al., 2021), con un área de 1000 m2 (17,84 m de radio) a través de la herramienta metodológica A/R (UNFCCC, 2011), que relaciona el tamaño de parcela desde 1/10 o 1/20 de hectárea para medición de parcelas de área fijas; y los lineamientos de Macdicken (1997), que propone los tamaños de parcelas basados en el área promedio por árbol.
Teniendo en cuenta que la herramienta metodológica A/R (UNFCCC, 2011) permite definir el número de parcelas necesarias para la estimación de carbono, considerando un error de muestreo de ±10 % y un nivel de confianza del 95 %, y a partir de la definición de las variables de área por estrato, la variación de los contenidos de biomasa, el margen de error aceptable en los cálculos y el valor t de Student correspondiente a una probabilidad determinada; se calculó el número de parcelas de la siguiente manera:

Donde:
n: número de parcelas de muestreo requeridas.
N: número total de posibles parcelas de muestreo dentro del área del proyecto.
tVAL: valor t de Student correspondiente al nivel de confianza (ej. 1,96 para 95%).
wi: peso relativo del estrato i (área del estrato i dividido entre el área total del proyecto).
si: desviación estándar estimada del contenido de biomasa del estrato i.
E: margen de error aceptable en la estimación (por ejemplo, 10 % expresado como 0,10).
i: subíndice que indica cada estrato dentro del proyecto.
Estratificación y establecimiento de parcelas
El universo de estudio corresponde a las áreas de cultivo de marañón sembradas, identificadas y delimitadas. Los estratos corresponden a las plantaciones/lotes que tienen en común el mismo año de siembra, lo que permite la creación de estratos homogéneos entre lotes (interior) y heterogéneos entre estratos (año de siembra). El método de muestreo es aleatorio simple y consistió en la distribución de parcelas de forma aleatoria sobre el estrato con una distancia mínima de 100 metros entre parcelas. Para la generación de la malla (100 m entre tesela) se utilizó la herramienta “Crear Cuadrícula” de la caja de herramientas de Qgis. Luego, con la herramienta v.random de Grass se realizó la distribución de los puntos de forma aleatoria, usando las áreas o estratos del proyecto (Figura 2). Finalmente, se definieron las rutas más eficientes para recorrer las parcelas.

Figura 2. Distribución de puntos de muestreo en el predio Horizonte. Fuente: elaborado por Fundación Cataruben (2023).
Un total de 62 parcelas fueron establecidas, de las cuales se distribuyeron por estratos como se desglosa en la Tabla 2.
|
Número de parcelas |
Año de siembra |
|
11 |
2008 |
|
10 |
2012 |
|
26 |
2017 |
|
6 |
2018 |
|
6 |
2020 |
|
3 |
2024 |
Tabla 2. Distribución de parcelas por año de siembra. Fuente: elaboración propia.
Levantamiento de variables dendrométricas
La recolección de la información inició con la ubicación del punto central de la parcela, previamente georreferenciado y marcado dentro del área del cultivo. Posteriormente, se identificaron puntos de referencia y se registraron datos de distancia (m) y azimut (°) para reconocer a los individuos de estudios en visitas posteriores (Figura 3).
Figura 3. Levantamiento dendrométrico y georreferenciación de árboles muestrales. En cada imagen se evidencia: (a) identificación punto centro y azimut hacia los árboles en el predio Mataguaro; (b) numeración de árboles de medición, predio El Manantial; y (c) edición de distancias desde el punto centro al árbol en el predio El Manantial. Nota: elaboración propia (2022).
Dado el crecimiento arbustivo de la especie, el diámetro del tronco fue medido a 30 cm del suelo (D30) con cinta diamétrica. Las alturas se midieron con vara expansiva y cinta métrica, debido a que la altura promedio de los individuos de marañón no era significativa (ht ≤ 7 m). Por su parte, el diámetro de la copa se midió con cinta métrica, promediando dos mediciones perpendiculares de la proyección vertical de las copas sobre el suelo (eje X y Y) (Figura 4). La metodología detallada para la toma de datos en campo se describe en el procedimiento interno de Fundación Cataruben “FC-GOP-23 Procedimiento diseño de inventario para el monitoreo de crecimiento de biomasa (AR)”.

Figura 4. Procedimiento de medición dendrométrica en árboles de marañón en el predio El Manantial: (a) medición ht, predio El Manantial; (b) medición DC; (c) medición del D30, predio El Manantial; y d) enumeración e identificación de altura para toma de D30. Fuente: elaboración propia (2022).
Se efectuó un muestreo no destructivo para la estimación de densidad aparente de madera, al seleccionar de forma aleatoria cuatro parcelas pertenecientes a los estratos 2008, 2011 y 2017; y, a su vez, de cada una de ellas, tres individuos de buen porte y estado fitosanitario. Las muestras cilíndricas de 10 cm se tomaron con un barreno de Pressler, y fueron codificadas y enviadas al laboratorio para su análisis correspondiente, conforme a los lineamientos de la CAR (2013).

Figura 5. Procedimiento de muestreo de madera para análisis de densidad básica: (a) toma de muestra cilíndrica de madera mediante barreno de Pressler; (b) medida del tamaño de muestra de madera; (c) almacenamiento de muestra de madera con orificios para aireación; (d) codificación muestras de madera para traslado al laboratorio. Fuente: elaboración propia (2022).
Muestreo para determinación de densidad de la madera
Para la estimación de DM, el volumen de cada muestra de madera se midió mediante el método de desplazamiento de agua y luego las muestras se mantuvieron en un horno a temperatura de 100 °C durante 72 horas, hasta que se obtuvo un peso constante. La DM se estimó siguiendo los lineamientos de la CAR (2013), como se indica a continuación:


Figura 6. Procedimiento para la Determinación de la Densidad Básica de la Madera: a) hidratación de tarugos; b) determinación del volumen por método de desplazamiento; c) disposición de tarugos de madera para ingresar al horno; y d) secado de las muestras. Fuente: elaboración propia (2022).
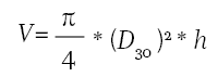
Por otro lado, el volumen del árbol en pie (V) de cada individuo fue calculado mediante el método de aproximación geométrica, mediante el cual se asume una forma cilíndrica en el fuste, y viene dado por la siguiente fórmula matemática (Servicios Forestales del Departamento de Agricultura de los Estados Unidos [USDA], 1952):

En esta fórmula, el volumen viene dado en m3, D30 es el diámetro del tronco a 30 cm del suelo, y ht, es la altura total de un individuo.
Posteriormente, se utilizó esta variable en la ecuación para la estimación de la biomasa aérea (BA) (kg·árbol-1), tal y como se expresa a continuación:
BA = V * DM * DEB
Donde:
BA: biomasa aérea; kg/árbol
V: volumen del árbol en pie; m3
DM: densidad aparente de madera; kg/m3
FEB: factor de expansión de biomasa
Las constantes de densidad específicas de la madera (DM) vienen dadas en g·cm-3 , y se eligió un Factor de Expansión de la Biomasa (FEB) = 1, 895 (Arsene, 2021). Los valores de FEB pueden tomarse como promedio de la densidad de los árboles que componen la masa forestal, ya que dimensionalmente son similares al dividir la masa total de fustes entre su volumen. Este dato debe de resultar igual a un estimador medio ponderado de la densidad de la madera del duramen, la albura y la corteza. Las proporciones de estos componentes cambian en función de la dimensión de cada árbol y como consecuencia, los factores de expansión de volumen fustal a componentes de biomasa cambian en función de esto mismo (Gracia et al., 2004).
Registro y organización de datos
Los datos obtenidos de las mediciones en campo fueron registrados en tiempo real a través de la aplicación ODK Collect (Open Data Kit, s.f.) y ODK Central. Para la construcción de los modelos alométricos, la BA (kg) fue definida como variable dependiente, mientras que para las variables independientes se seleccionaron el diámetro del tronco (cm), altura total (m) y el diámetro de la copa (m). Para evaluar la distribución normal de los datos se aplicó la prueba Kolmogorov-Smirnov.
La definición de los modelos se realizó mediante análisis de regresión lineal simple, múltiple y polinomial en Excel, definiendo las siguientes expresiones:
Y = a+bX
Y = a+ bX1+ cX2
Y= a + bX+ cX2
Aquí, Y es la variable de respuesta o dependiente, X la variable independiente y a, b y c son coeficientes a estimar.
Finalmente, la selección del modelo alométrico para la estimación de biomasa se eligió según el grado de ajuste del mismo, basado en un alto coeficiente de determinación ajustado (R2 −Ajust), y valores bajos del error estándar de la estimación o raíz del cuadrado medio del error (RCM) y la suma del cuadrado de los residuos, así como la practicidad de las variables independientes.
Preparación para modelamiento estadístico
Los datos de medición de campo (diámetros, altura) se relacionan en la tabla 3.
|
Año |
N |
D30(cm) |
Altura total (m) |
Diámetro de copa (m) |
|||
|---|---|---|---|---|---|---|---|
|
siembra |
promedio |
σD30 |
promedio |
σht |
promedio |
σDcopa |
|
|
2008 |
51 |
30,1 |
5,68 |
4,47 |
0,43 |
11,43 |
1,96 |
|
2012 |
51 |
23 |
4,02 |
4,07 |
0,5 |
8,77 |
1,16 |
|
2017 |
130 |
15,33 |
3,51 |
3,24 |
0,46 |
5,69 |
1,43 |
|
2018 |
31 |
9,11 |
2,07 |
2,28 |
0,34 |
3,36 |
0,79 |
|
2020 |
29 |
5,44 |
1,75 |
1,65 |
0,46 |
1,9 |
0,78 |
|
2021 |
16 |
5,39 |
1,47 |
1,6 |
0,37 |
1,75 |
0,52 |
Tabla 3. Resumen estadístico de las variables evaluadas (D30, ht, Dcopa). N: número de individuos; σ:desviación estándar. Fuente: elaboración propia.
De manera general, el D30 presenta un promedio de 16,97 cm ± 8,69. Por su parte, la altura total establece un promedio de 3,25 m ± 1,02. Finalmente, el diámetro de copa registra un valor promedio de 6,35 m ± 3,34.
Por otro lado, la densidad de madera de marañón varió entre 0,41 - 0,51 g·cm-3, sin diferencias significativas (p>0,05) entre estratos muestreados. De esta manera, para las estimaciones de biomasa, se definió un valor promedio de la densidad de madera de 0,46 g·cm-3, con una desviación estándar de 0,025.
Las ecuaciones alométricas y generales de biomasa que mostraron mayor ajuste a las características propias del marañón se presentan en la tabla 4. En total, se evaluaron 14 modelos; de estos, 1 a 3 fueron ajustados mediante análisis de regresión lineal, considerando las variables independientes seleccionadas. Por su parte, los modelos 4 a 6 se analizaron mediante regresión polinomial. La evaluación de los datos se realizó de forma gráfica, tal como se muestra en la Figura 8.
|
Fórmula |
R2 –Ajust |
RMSE |
SCE |
Calificación total |
|||
|---|---|---|---|---|---|---|---|
|
Valor |
Calificación |
Valor |
Calificación |
Valor |
Calificación |
||
|
BA = a + b(D₃₀) |
0,882 |
10 |
38,348 |
10 |
450,004 |
10 |
30 |
|
BA = a + b(ht) |
0,59 |
14 |
71,513 |
14 |
1564905,57 |
14 |
42 |
|
BA = a + b(Dcopa) |
0,721 |
12 |
58,979 |
12 |
1064422,49 |
12 |
36 |
|
BA = a + b(D₃₀) + c(D₃₀)² |
0,98 |
6 |
15,976 |
8 |
77842,37 |
8 |
22 |
|
BA = a + b(ht) + c(ht)² |
0,69 |
13 |
62,184 |
13 |
1179376,03 |
13 |
39 |
|
BA = a + b(Dcopa) + c(Dcopa)² |
0,769 |
11 |
53,636 |
11 |
877397,58 |
11 |
33 |
|
BA = a + b(D₃₀) + c(ht) |
0,889 |
9 |
37,207 |
9 |
422227,59 |
9 |
27 |
|
ln(BA) = a + b(D₃₀) + c(ht) |
0,936 |
7 |
0,385 |
6 |
45,15 |
6 |
19 |
|
ln(BA) = a + b(ln(D₃₀)) |
0,991 |
5 |
0,141 |
5 |
6,12 |
5 |
15 |
|
ln(BA) = a + b(ln(ht)) |
0,909 |
8 |
0,459 |
7 |
64,44 |
7 |
22 |
|
ln(BA) = a + b(ln(D₃₀)) + c(ln(ht)) |
1 |
1 |
1x10-15 |
2 |
4x10-28 |
2 |
5 |
|
ln(BA) = a + b(ln(D₃₀ × ht)) |
0,997 |
3 |
0,089 |
3 |
2,43 |
3 |
9 |
|
ln(BA) = a + b(ln(D₃₀)² × ht) |
1 |
1 |
1x10-15 |
1 |
4x10-28 |
1 |
3 |
|
ln(BA) = a + b(ln(D₃₀)) + c(ln(D₃₀))² |
0,992 |
4 |
0,133 |
4 |
5,37 |
4 |
12 |
Tabla 4. Modelos alométricos evaluados para la estimación de biomasa aérea en marañón. N: número de ecuaciones; R2 –Ajust: coeficiente de determinación ajustado; RMSE: error estándar de la estimación; SCE: suma del cuadrado de los residuos; a, b y c: constantes de regresión lineal.
Fuente: elaboración propia.
Dada la existencia de tres indicadores (R2 –Ajust, RMSE y SCE) para la selección de los modelos, se realizó una calificación para cada uno de ellos de acuerdo a cada indicador (uno al mejor modelo, el dos al segundo mejor y así sucesivamente). Luego, se sumaron las calificaciones de los cuatro indicadores evaluados para cada modelo. De estos, aquel con menor suma es probablemente la mejor selección (tabla 2). Sin embargo, aunque el modelo 14 es el que tiene menor calificación en la suma total, en algunos de sus indicadores, los modelos 11, 12 y 13 poseen una puntuación igual o más cercana 1, lo que podría estar generando una sobreestimación de los datos, por lo cual se descartan.
En los diagramas de las figuras 7, 8 y 9, se evidencia una tendencia polinomial que se ajusta al grado 2, lo que permite observar de manera gráfica el comportamiento similar relacionado entre la biomasa aérea con respecto al D30, diámetro de copa y la altura de los árboles de marañón. La correlación de biomasa que define mejor es la variable dependiente D30 (Figura 8), cuya línea de tendencia mostró un R2=0,98 y está representada por la siguiente ecuación:
y = 0,3702x2 - 2,2622x+ 2,645
La edad promedio de los árboles analizados fue de 7 años, con variaciones entre 1 y 15 años de edad. La mayor altura fue 5,75 m, y el mayor diámetro de copa 14,65 m.

Figura 7. Diagrama de dispersión y correlación del diámetro del tronco a 30 cm del suelo (D30) y la biomasa aérea. Fuente: elaboración propia.

Figura 8. Diagrama de dispersión y correlación entre el diámetro de la copa y la biomasa aérea. Fuente: elaboración propia.

Figura 9. Diagrama de dispersión y correlación entre la altura y la biomasa aérea.
Fuente: elaboración propia.
En los gráficos, se evidencia que la cantidad de biomasa aérea se correlaciona proporcionalmente al diámetro promedio del tronco, como se observa en la figura 7. La mayor concentración se encuentra entre los valores 2,5 y 25, debido a que corresponden a árboles de edad menores de 11 años.
Por otra parte, en la Figura 8, correspondiente a la biomasa aérea frente al diámetro de copa, se presenta una línea de tendencia positiva polinómica, lo que refleja una lógica biológica en la distribución de los datos, ya que, aunque la proporción de la biomasa aérea no es directa con respecto al diámetro de copa. Se observó, en campo, que este último sí guarda una proporcionalidad con respecto a la edad. Esta variabilidad se puede ver afectada por factores asociados a los efectos de la competencia a nivel de raíces por agua y nutrientes, y a nivel de copa por la luz.
La línea de tendencia arrojó un R2=0,77 y está representada por la ecuación:
y = 1,9604x2 + 0,7557x - 5,8421
La correlación de biomasa y la altura del árbol, como se observa en la figura 10, arroja en su línea de tendencia un R2=0,70 representada por la siguiente ecuación:
y = 25,892x2 - 75,263x + 44,008
De igual manera, la inclusión de la altura de las plantas en las ecuaciones alométricas proporciona una disminución de los errores de estimación de la biomasa aérea.
Aunque los modelos alométricos del 1 al 7 evaluados en la tabla 4, cuentan con un coeficiente de determinación alto (R2>0,5) y presentan valores altos en el error cuadrático, se transformaron los datos mediante la aplicación de logaritmo natural (ln) tanto a la variable dependiente como a las independientes. Los datos que se utilizaron en el análisis de regresión deben cumplir los supuestos de normalidad, independencia y homogeneidad de varianzas. En caso de no cumplirse algunos de ellos, se transforman mediante logaritmos (naturales y en base 10), potencias y raíces. Walpole y Myers (1992) indican que una gráfica de valores observados en función de la variable independiente (x) puede indicar la necesidad de transformar los datos. Cuando no sea posible linealizar mediante transformaciones, se usarán modelos de regresión no lineal.
De manera general, los modelos 11, 12, 13 y 14 presentaron mayor ajuste de los datos, de acuerdo a un alto coeficiente de determinación (R2 –Ajust), así como valores bajos en el error estándar de la estimación (RMSE) y la suma del cuadrado de los residuos (SCE). No obstante, se descartó la selección de los modelos 11 y 13, teniendo en cuenta que presentaron un R2-Ajust=1, lo que podría indicar un mayor ajuste de los datos.
Por otro lado, aunque el modelo 12 respecto al modelo 14 registra una mejor calificación en los tres índices evaluados, el último fue seleccionado para realizar las estimaciones de contenidos de biomasa del proyecto por practicidad y aplicabilidad de las variables a tener en cuenta, bajo la siguiente expresión:
ln(BA) = -3,777 + 3,158 * (ln(D30 )) - 0,118 * (ln(D30))2
Donde BA, corresponde a la biomasa aérea estimada (kg/árbol); y D30 relaciona el diámetro del tronco medido a 30 cm del suelo (cm).
Línea base: modelo adicional para el cálculo de los diámetros
La construcción del modelo seleccionado, basado en el diámetro del tronco 20a 30 cm del suelo (D30), permitió establecer una línea base sólida para la proyección de crecimiento y acumulación de biomasa en marañón bajo las condiciones edafoclimáticas del Vichada. Este enfoque metodológico, sustentado en un análisis de regresión lineal y polinomial con transformaciones logarítmicas, evidenció un comportamiento coherente entre el incremento diamétrico y la edad del cultivo, al alcanzar un coeficiente de determinación del 77 %. Dicho resultado respalda la consistencia del modelo en escenarios de campo y su aplicabilidad en estimaciones de biomasa aérea a nivel de plantación, determinado por la siguiente ecuación:
D30 = 4,945 + 1,704 (Edad en años)
En este sentido, las reflexiones derivadas del proceso de modelación destacan que el ajuste obtenido responde de manera efectiva a la morfología particular del marañón, caracterizado por un tronco corto, ramificación baja y copa extendida. Estas características, poco representadas en los modelos alométricos tradicionales, generan desviaciones significativas cuando se utilizan ecuaciones generalizadas desarrolladas para especies forestales de porte alto o para ecosistemas tropicales húmedos. Por ello, la elección de una variable alternativa como el D30 resulta esencial, ya que se alinea mejor con la estructura real del árbol y mejora sustancialmente la precisión de las estimaciones.
A diferencia de los modelos referidos en el marco teórico —como los propuestos por Picard et al. (2012), Solano et al. (2014) y Aquino-Ramírez et al. (2015)—, el modelo ajustado para el marañón en la Orinoquía colombiana no se limita a replicar funciones lineales convencionales basadas en el diámetro a la altura del pecho (DAP, a 1,3 m del suelo), sino que incorpora un enfoque polinomial que describe con mayor fidelidad las relaciones no lineales entre el crecimiento diamétrico y la acumulación de biomasa. Esta adaptación metodológica no solo incrementa la robustez estadística del modelo, sino que también optimiza su uso en condiciones de campo, donde la medición de DAP puede ser impráctica debido al patrón morfológico de la especie.
De esta manera, el modelo desarrollado representa una contribución metodológica relevante, ya que responde a un vacío técnico identificado para los sistemas agroforestales de marañón en el Vichada. Su formulación permite estimaciones más ajustadas y con menor margen de error, al aportar al fortalecimiento de los inventarios de carbono y al diseño de proyectos de captura con trazabilidad verificable, en coherencia con los lineamientos del Mecanismo de Desarrollo Limpio (MDL) y el Artículo 6 del Acuerdo de París. En conjunto, estos resultados reafirman la pertinencia de desarrollar ecuaciones alométricas locales, construidas a partir de mediciones representativas de las especies y ecosistemas específicos, como un paso indispensable hacia la cuantificación rigurosa del carbono en paisajes productivos sostenibles de la Orinoquía colombiana.
Conclusiones
El desarrollo del modelo alométrico para la estimación de biomasa aérea total (AGB) en Anacardium occidentale L. constituye un avance significativo para la comprensión y cuantificación del carbono en sistemas productivos de la Orinoquía colombiana. La aplicación de métodos no destructivos, combinada con el ajuste de la ecuación 14, permitió obtener un modelo altamente preciso (R²-Ajust ≥ 0,99), validando su capacidad para representar con fidelidad el comportamiento de la especie en condiciones locales.
La importancia de este estudio radica en haber establecido, por primera vez para el Vichada, una ecuación alométrica adaptada a la morfología y patrón de crecimiento del marañón, especie de alto potencial ecológico y económico en zonas de sabana tropical. La carencia de modelos regionales generaba incertidumbre en los cálculos de biomasa y carbono, lo que limitaba la participación de pequeños productores y proyectos de conservación en mecanismos de compensación climática. En este contexto, la generación de un modelo propio no solo mejora la exactitud de las estimaciones, sino que fortalece la base técnica necesaria para el diseño de estrategias de restauración y programas de pago por servicios ambientales en la región.
Desde un punto de vista técnico-empírico, el modelo aporta evidencia concreta sobre la relación entre el crecimiento diamétrico y la acumulación de carbono en marañón, al validar el uso del diámetro a 30 cm del suelo (D30) como variable predictora alternativa frente al tradicional DAP. Este enfoque metodológico contribuye a reducir errores de estimación y amplía las posibilidades de aplicación en especies de arquitectura irregular, donde la medición convencional resulta imprecisa.
Finalmente, los resultados de este trabajo abren la puerta a nuevas líneas de investigación orientadas a la calibración y validación de ecuaciones alométricas locales para diferentes edades, sistemas de manejo y condiciones edafoclimáticas. Se recomienda complementar los modelos no destructivos con estudios destructivos y análisis de densidad de madera para fortalecer la precisión de los factores de expansión de biomasa. Asimismo, se sugiere integrar mediciones de carbono subterráneo y de suelos, con el fin de avanzar hacia un balance completo del carbono en los sistemas agroforestales del marañón.
En conjunto, este estudio sienta las bases para una gestión más rigurosa y equitativa de los recursos naturales del Vichada, y resalta al marañón como una especie clave en la mitigación del cambio climático y en la generación de oportunidades sostenibles para las comunidades locales.
Referencias bibliográficas
Aquino-Ramírez, M., Velázquez-Martínez, A., Castellanos-Bolaños, J. F., de los Santos-Posadas, D. y Etchevers-Barra, J. D. (2015). Partición de la biomasa aérea en tres especies arbóreas tropicales. Agrociencia, 49(3), 299–314.
Arsene, K., Adama, S., Edouard, K., Naminata, C. y Nadege, K. (2021). Changes in vegetation structure and carbon stock in cashew (Anacardium occidentale L., Anacardiaceae)-based agro-ecosystem after clear forest in the north of Côte d’Ivoire. International Journal of Environment, Agriculture and Biotechnology, 8(2), 2348–3997.
Barbosa De Sousa, L., de Lima Feitoza, L., Ferreira Gomes, L. R., de Almeida Lopes, A. C., Basílio Soares, E. y Pereira da Silva, E. M. (2007). Aspectos de biologia floral de cajueiros anão precoce e comum. Ciência Rural, 37(3), 882–885. https://doi.org/10.1590/S0103-84782007000300045
Castellanos, A. E. (1989). Fotosíntesis y economía del carbono en plantas superiores. Boletín de la Sociedad Botánica de México, 49, 41–60. http://dx.doi.org/10.17129/botsci.1365
Corporación Autónoma Regional de Cundinamarca [CAR]. (2013). Guía para la cuantificación de la biomasa y el carbono forestal, generación de modelos y uso de herramientas para su estimación.
Fonseca, W., Ruiz, L., Rojas, M. y Alice, F. (2013). Modelos para estimar la biomasa de especies nativas en plantaciones y bosques secundarios en la zona Caribe de Costa Rica. Revista Forestal Centroamericana, 30(1), 36–47.
Fundación Cataruben. (2025). Proyecto CultivO2.
Gracia, C., Vayreda, J., Sabaté, S. y Ibáñez, J. (2004). Main components of the aboveground biomass expansion factors. Departamento de Ecología, Universidad de Barcelona – CREAF.
Grupo Intergubernamental de Expertos sobre el Cambio Climático [IPCC]. (2003). Buenas prácticas para la estimación de biomasa forestal y carbono.
Instituto de Hidrología, Meteorología y Estudios Ambientales [Ideam]. (s.f.). Puerto Carreño – Climatografía de las principales ciudades. https://bart.ideam.gov.co/cliciu/carreno/carreno.htm
Lopes Serrano, L. A. y de Paula Pessoa, P. F. A. (2016). Aspectos econômicos da cultura do cajueiro. En L. A. Lopes-Serrano (Ed.), Sistema de produção do caju (pp. 2–10). Embrapa Agroindústria Tropical. https://www.researchgate.net/publication/307957726_Aspectos_economicos_da_cultura_do_cajueiro
Lozano Sivisaca, D. C., Palacios Herrera, B. G. y Aguirre Mendoza, Z. H. (2018). Modelos alométricos para estimar el almacenamiento de carbono de bosques montanos bajos en el sur del Ecuador. Ciência Florestal, 28(3), 1328–1339.
Macdicken, K. (1997). A guide to monitoring carbon storage in forestry and agroforestry projects. Winrock International Institute for Agricultural Development. Forest Carvon Monitoring Program.
Méndez González, J., Acosta Mireles, M. y Nájera Luna, J. A. (2021). Alometría generalizada para la estimación de la biomasa aérea total de plantas leñosas: marco teórico general y aplicaciones. Madera y Bosques, 27(4), e2742442.
Molto, Q., Rossi, V. y Blanc, L. (2013). Error propagation in biomass estimation in tropical forests. Methods in Ecology and Evolution, 4(8), 783–791.
Olarte, C. P., Merchán, O. F., Linares, R., Quintero, F., León, R., Rodríguez León, A. y Montealegre, J. O. (2021). Marco rector para la implementación del Inventario Forestal Nacional. Instituto de Hidrología, Meteorología y Estudios Ambientales (Ideam).
Open Data Kit. (s.f.). ODK Collect.
Orduz, J. O. y Rodríguez, E. (2022). El marañón (Anacardium occidentale L.) un cultivo con potencial productivo: desarrollo tecnológico y perspectivas en Colombia. Agronomía Mesoamericana, 33(2). https://doi.org/10.15517/am.v33i2.47268
Organización de las Naciones Unidas [ONU]. (s.f.). Causas y efectos del cambio climático. Naciones Unidas: Acción Climática. https://www.un.org/es/climatechange/science/causes-effects-climate-change
Organización de las Naciones Unidas [ONU]. (2015). Acuerdo de París. https://unfccc.int/files/essential_background/convention/application/pdf/spanish_paris_agreement.pdf
Organización de las Naciones Unidas [ONU]. (2025, 11 de abril). ¿Qué es el cambio climático? Naciones Unidas: Acción Climática.
Organización Panamericana de la Salud [OPS]. (2025). Cambio climático y salud. Organización Mundial de la Salud. https://www.paho.org/es/temas/cambio-climatico-salud
Orwa, C., Mutua, A., Kindt, R., Jamnadass, R. y Simons, A. (2009). Base de datos Agroforestree: una guía de referencia y selección de árboles (Versión 4.0). Centro Mundial de Agroforestería.
Picard, N., Saint-André, L. y Henry, M. (2012). Manual de construcción de ecuaciones alométricas para estimar el volumen y la biomasa de los árboles: del trabajo de campo a la predicción. CIRAD y FAO.
Segura, M. y Andrade, H. J. (2008). ¿Cómo construir modelos alométricos de volumen, biomasa o carbono de especies leñosas perennes? Agroforestería en las Américas, 46, 89–96. https://repositorio.catie.ac.cr/handle/11554/6935
Servicios Forestales del Departamento de Agricultura de los Estados Unidos [USDA]. (1952). Método de determinación del peso específico de las astillas de madera.
Sígala, J. Á., González Tagle, M. A., Prieto Ruíz, J. Á., Basave Villalobos, E. y Jiménez Pérez, J. (2016). Relaciones alométricas para predecir biomasa en plantas de Pinus pseudostrobus cultivadas en diferentes sistemas de producción en vivero. Bosque (Valdivia), 37(2), 369–378. https://doi.org/10.4067/S0717-92002016000200015
Solano, D., Vega, C., Eras, V. H. y Cueva, K. (2014). Generación de modelos alométricos para determinar biomasa aérea a nivel de especies, mediante el método destructivo de baja intensidad para el estrato de bosque seco pluviestacional del Ecuador. CEDAMAZ, 4(1), 32–44. https://revistas.unl.edu.ec/index.php/cedamaz/article/view/227
United Nations Framework Convention on Climate Change [UNFCCC]. (2011). AR-TOOL14: Estimation of carbon stocks and change in carbon stocks of trees and shrubs in A/R CDM project activities (Versión 04.1).
United Nations Framework Convention on Climate Change [UNFCCC]. (2015). Measurements for estimation of carbon stocks in afforestation and reforestation project activities under the Clean Development Mechanism.
* Este estudio fue financiado por Fundación Cataruben y ejecutado entre junio y septiembre de 2022 en agroecosistemas del departamento del Vichada, Colombia.
** Magíster en Fitopatología. Líder del Proyecto de Mitigación de GEI – COROZO2, Fundación Cataruben (Proceso de Proyectos). Contribución: coordinación técnica y ejecución del estudio, implementación y estandarización de mediciones en campo; consolidación, depuración y validación de la base de datos; análisis estadístico y apoyo en la modelación alométrica, interpretación de resultados y revisión crítica del manuscrito. Última publicación: Dadaşoğlu, F., Maldonado Coy, J. F., Özyurt, G. y Kotan, R. (2020). In vitro Effect of Bacterial Biocontrol Organisms against Pectobacterium carotovorum on Potato. Journal of Agricultural Production, 1(1): 8–11. malco_jf@hotmail.com ORCID: https://orcid.org/0000-0002-1803-7835
*** Ingeniero Ambiental. Superlíder de Productividad, Fundación Cataruben (Proceso de Innovación y Productividad). Contribución: procesamiento, control de calidad y análisis de datos; elaboración de tablas y salidas para resultados; redacción y ajuste del manuscrito conforme a lineamientos editoriales. funambulo23@gmail.com ORCID: https://orcid.org/0009-0005-6321-8087
1 Individuos genéticamente idénticos obtenidos a partir de una misma planta madre mediante propagación vegetativa (injertos, estacas, acodos o cultivo de tejidos), y no por semilla.